
N,N-DIBUTYL(2-HYDROXYPROPYL)AMINE
产品名称
N,N-DIBUTYL(2-HYDROXYPROPYL)AMINE
CAS号2109-64-0
分子式C11H25NO
分子量187.32
InChIInChI=1S/C11H25NO/c1-4-6-8-12(9-7-5-2)10-11(3)13/h11,13H,4-10H2,1-3H3
InChIKeyICMJHPBQTVWCNT-UHFFFAOYSA-N
SmilesC(N(CCCC)CCCC)C(O)C
展开
收起
-
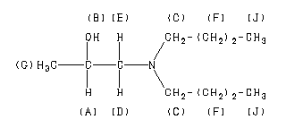
Assign. Shift(ppm)
A 3.69
B 3.53
C 2.75 to 1.95
D *1 2.37
E *1 2.25
F 1.36
G 1.111
J 0.93
400MHZ : HSP-41-048
Spectral Code: 1H NMR : 90 MHz in CDCl3
-
ppm Int. Assign.
63.14 562 1 *
62.65 539 2 *
54.19 1000 3
29.58 893 4
20.64 989 5
19.94 449 6
14.05 843 7
Spectral Code: 13C NMR : in CDCl3
-
Spectral Code: IR : liquid film
N,N-DIBUTYL(2-HYDROXYPROPYL)AMINE(2109-64-0)红外图谱(IR1) 相关产品图谱