-
MS-IW-1332 4-indolecarboxylic acid C9H7NO2 (Mass of molecular ion: 161)
Source Temperature: 170 °C Sample Temperature: 130 °C Direct, 75 eV
58.0 1.1 62.0 1.7 63.0 2.7 66.5 1.6 77.0 1.4 87.0 1.0 88.0 1.3 89.0 7.6 90.0 1.8 104.0 1.4 105.0 1.2 114.0 1.0 115.0 2.2 116.0 26.1 117.0 3.0 132.0 1.2 133.0 1.6 144.0 51.8 145.0 5.4 160.0 1.4 161.0 100.0 162.0 10.3
400 MHz in DMSO-d6
-
1H NMR 399.65 MHz C9 H7 N O2 0.038 g : 0.5 ml DMSO-d6 4-indolecarboxylic acid 
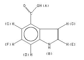
Assign. Shift(ppm)
A 12.6 B 11.42 C 7.767 D 7.692 E 7.527 F 7.207 G 7.015
Hz ppm Int.4565.61 11.425 285 3108.89 7.780 828 3107.79 7.777 856 3105.59 7.771 51 3104.49 7.769 54 3101.38 7.761 958 3100.46 7.758 925 3079.21 7.705 532 3078.30 7.703 846 3077.38 7.701 487 3071.15 7.685 614 3070.24 7.683 932 3069.32 7.681 518 3011.07 7.535 656 3008.33 7.528 992 3005.40 7.521 664 3001.55 7.511 33 2887.99 7.227 711 2884.51 7.218 38 2883.96 7.217 37 2880.29 7.208 1000 2876.63 7.198 39 2872.60 7.188 633 2806.48 7.023 473 2805.56 7.021 524 2804.46 7.018 612 2803.55 7.016 851 2802.63 7.013 568 2801.35 7.010 513 2800.62 7.008 428
更多供应商






