-
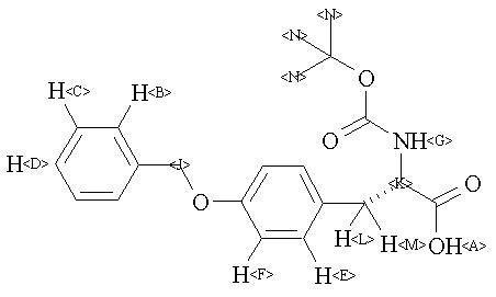
MS-IW-6140 o-benzyl-N-tert-butoxycarbonyl-L-tyrosine C21H25NO5 (Mass of molecular ion: 371)
Source Temperature: 160 °C Sample Temperature: 150 °C Direct, 75 eV
18.0 4.6 27.0 1.6 28.0 2.9 29.0 2.5 31.0 2.2 39.0 4.9 40.0 1.1 41.0 15.9 44.0 14.7 51.0 1.2 53.0 1.0 55.0 3.9 56.0 8.5 57.0 6.8 59.0 8.7 65.0 4.9 89.0 1.1 91.0 100.0 92.0 8.5 107.0 3.2 197.0 37.7 198.0 6.1 233.0 2.0 235.0 3.4 254.0 1.8 263.0 25.4 264.0 4.6 278.0 5.3 279.0 1.0 297.0 2.7 298.0 1.7 310.0 1.9 315.0 1.4 371.0 2.3
400 MHz in CDCl3
-
1H NMR 399.65 MHz C21 H25 N O5 0.041 g : 0.5 ml CDCl3 O-benzyl-N-tert-butoxycarbonyl-L-tyrosine 
Assign. Shift(ppm)
A 10.5 B 7.402 C 7.364 D 7.311 E 7.10 F 6.909 G 6.47 G 4.97 J 5.017 K 4.58 K 4.34 L *1 3.12 M *1 3.03 M *1 2.86 N 1.416 N 1.299 mixture of internal rotomers
Hz ppm Int.2965.55 7.421 151 2963.71 7.416 211 2957.15 7.400 439 2956.54 7.398 402 2955.78 7.396 388 2950.59 7.383 201 2949.52 7.381 268 2947.54 7.376 83 2942.50 7.363 469 2940.83 7.359 178 2936.55 7.348 119 2934.88 7.344 211 2928.31 7.328 98 2926.79 7.324 163 2924.96 7.319 85 2922.52 7.313 61 2919.77 7.306 161 2916.72 7.299 39 2914.12 7.292 34 2912.60 7.288 46 2839.66 7.106 172 2831.88 7.086 157 2765.20 6.920 278 2756.65 6.898 236 2005.31 5.018 894 1992.03 4.985 54 1983.95 4.965 55 566.41 1.418 1000 546.11 1.367 34 544.43 1.363 33 543.37 1.360 33 542.91 1.359 33 542.60 1.358 33 542.14 1.357 33 541.53 1.356 33 540.92 1.354 32 540.62 1.353 32 540.16 1.352 32 539.70 1.351 32 519.41 1.300 343
更多供应商





