图谱信息 供应商 相关产品
网站主页CAS数据库列表 2140-11-6更多图谱2',3'-O-异丙叉肌苷(2140-11-6)红外图谱(IR1)

2',3'-O-异丙叉肌苷

产品名称 2',3'-O-异丙叉肌苷

CAS号2140-11-6

分子式C13H16N4O5

分子量308.29

展开


  • Mass

    MS2008-03854CW      
    2',3'-O-isopropylideneinosine
    C13H16N4O5          (Mass of molecular ion:    308)
    

       Source Temperature: 250 °C
       Sample Temperature:  50 °C
       Direct, 70 eV
    

          27.0       1.4
          28.0       4.6
          29.0       1.9
          31.0       4.3
          39.0       2.0
          40.0       1.0
          41.0       5.9
          43.0      14.1
          45.0       1.4
          53.0       1.7
          54.0       3.2
          55.0       4.5
          57.0       5.1
          59.0      24.6
          60.0       1.0
          67.0       1.6
          68.0       6.0
          69.0      11.5
          70.0       1.4
          71.0      11.9
          73.0       6.5
          80.0       1.4
          81.0       2.5
          82.0       1.0
          85.0       8.8
          86.0       1.6
          93.0       1.2
          94.0       1.1
          97.0       2.1
         101.0       3.3
         107.0       3.1
         108.0       2.8
         109.0       6.2
         110.0       3.2
         114.0       1.1
         115.0       4.1
         119.0       1.0
         129.0       3.3
         134.0       1.9
         135.0       2.8
         136.0     100.0
         137.0      46.2
         138.0       3.3
         149.0       2.0
         157.0       1.9
         162.0       2.6
         163.0       1.4
         165.0       5.2
         173.0       5.9
         174.0       1.0
         179.0       1.5
         191.0       2.6
         203.0       2.7
         205.0       2.4
         219.0      12.9
         220.0       3.0
         221.0       2.3
         250.0       2.0
         277.0       1.7
         293.0       8.7
         294.0       1.4
         308.0       4.4
    

400 MHz in DMSO-d6


  • 1H NMR 399.65 MHz
    C13 H16 N4 O5 0.045 g : 0.5 ml DMSO-d6
    2',3'-O-isopropylideneinosine
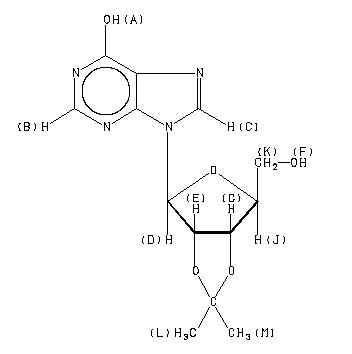
    ChemicalStructure
        Assign.     Shift(ppm)
    A 12.5 B 8.335 C 8.120 D 6.123 E 5.285 F 5.15 G 4.951 J 4.250 K 3.562 L *1 1.544 M *1 1.330

         Hz     ppm     Int.
    

       4981.95  12.466     54
       3331.43   8.336    604
       3248.27   8.128     33
       3245.53   8.121    581
       2448.75   6.128    262
       2445.82   6.120    260
       2116.86   5.297    129
       2113.92   5.290    126
       2110.81   5.282    135
       2107.88   5.275    130
       2057.69   5.149     68
       1982.96   4.962    136
       1980.21   4.955    135
       1976.73   4.947    122
       1974.17   4.940    119
       1702.35   4.260     61
       1699.60   4.253     71
       1697.59   4.248    134
       1694.84   4.241    130
       1692.82   4.236     69
       1690.08   4.229     57
       1423.94   3.563    185
       1423.57   3.563    186
        617.64   1.546   1000
        531.73   1.331    955
    

in DMSO-d6



KBr disc



nujol mull