-
MS-IW-6965 2'-ethoxyacetophenone C10H12O2 (Mass of molecular ion: 164)
Source Temperature: 220 °C Sample Temperature: 150 °C Reservoir, 75 eV
15.0 1.1 18.0 1.8 27.0 3.4 28.0 4.8 29.0 3.4 32.0 1.0 38.0 1.1 39.0 5.4 43.0 13.3 50.0 2.1 51.0 3.0 53.0 1.3 55.0 1.4 63.0 3.5 64.0 2.6 65.0 11.8 66.0 1.2 76.0 1.6 77.0 5.4 78.0 1.4 79.0 1.1 91.0 3.0 92.0 2.9 93.0 13.5 94.0 2.1 103.0 2.2 105.0 5.9 107.0 2.1 120.0 1.1 121.0 100.0 122.0 8.0 131.0 8.5 145.0 1.0 146.0 4.1 147.0 2.1 149.0 38.4 150.0 3.8 164.0 22.7 165.0 2.9
400 MHz in CDCl3
-
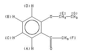
1H NMR 399.65 MHz C10 H12 O2 0.039 g : 0.5 ml CDCl3 2'-ethoxyacetophenone 
Assign. Shift(ppm)
A 7.739 B 7.430 C 6.970 D 6.932 E 4.128 F 2.634 G 1.478
Hz ppm Int.3097.66 7.751 80 3095.83 7.747 82 3089.97 7.732 83 3088.13 7.728 83 2978.64 7.454 51 2976.81 7.449 50 2971.31 7.435 61 2970.34 7.433 67 2969.48 7.431 64 2968.51 7.428 58 2963.01 7.415 61 2961.18 7.410 57 2793.46 6.990 58 2792.48 6.988 64 2786.13 6.972 79 2785.77 6.971 79 2785.16 6.969 88 2778.44 6.953 57 2777.47 6.950 63 2774.66 6.943 85 2766.36 6.922 78 1660.28 4.155 68 1653.32 4.137 202 1646.24 4.120 205 1639.28 4.102 70 1055.66 2.642 45 1052.86 2.635 1000 597.53 1.496 265 590.58 1.478 502 583.62 1.461 258
更多供应商





