-
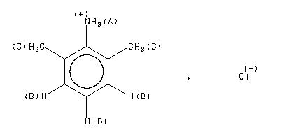
MS-NW-8847 2,6-xylidine hydrochloride C8H11N HCl (Mass of molecular ion: 121)
Source Temperature: 180 °C Sample Temperature: 120 °C Direct, 75 eV
18.0 2.8 27.0 2.2 28.0 2.8 30.0 1.8 35.0 2.3 36.0 27.9 38.0 9.5 39.0 5.0 41.0 2.2 42.0 3.3 46.5 1.1 50.0 1.1 51.0 3.9 52.0 3.0 53.0 4.3 54.0 1.9 58.5 2.9 59.5 3.2 60.5 3.5 63.0 1.9 65.0 4.5 66.0 1.3 77.0 12.2 78.0 6.0 79.0 5.0 80.0 1.9 89.0 1.0 91.0 9.2 92.0 2.6 93.0 4.7 94.0 1.4 102.0 1.1 103.0 6.4 104.0 4.0 105.0 2.1 106.0 54.3 107.0 4.6 118.0 3.0 119.0 1.7 120.0 51.7 121.0 100.0 122.0 9.3
90 MHz in CDCl3
更多供应商






