图谱信息 供应商 相关产品
网站主页CAS数据库列表 2152-44-5更多图谱倍他米松戊酸酯(2152-44-5)核磁图(1HNMR)

倍他米松戊酸酯

产品名称 倍他米松戊酸酯

CAS号2152-44-5

分子式C27H37FO6

分子量476.58

展开


  • Mass

    MS-IW-3431          
    9-fluoro-11beta,17,21-trihydroxy-16beta-methyl-1,4-pregnadiene-3,20-dione 17-monovalerate
    C27H37FO6           (Mass of molecular ion:    476)
    

       Source Temperature: 190 °C
       Sample Temperature: 220 °C
       Direct, 75 eV
    

          17.0       1.0
          18.0       4.1
          26.0       1.2
          27.0      10.3
          28.0       5.1
          29.0      20.0
          30.0       1.2
          31.0       4.6
          39.0       8.9
          40.0       1.6
          41.0      33.1
          42.0       6.2
          43.0      17.7
          44.0       1.0
          45.0       5.4
          51.0       2.6
          52.0       1.3
          53.0       7.9
          54.0       1.2
          55.0      19.9
          56.0       4.7
          57.0      47.9
          58.0       2.6
          59.0       2.7
          60.0      60.6
          61.0       3.0
          63.0       1.0
          65.0       5.5
          66.0       1.3
          67.0       8.2
          68.0       1.2
          69.0       9.5
          70.0       1.1
          71.0       2.7
          73.0      26.2
          74.0       2.8
          75.0       1.6
          77.0      15.5
          78.0       3.3
          79.0      11.5
          80.0       1.8
          81.0       6.6
          82.0       1.4
          83.0       5.2
          84.0       1.4
          85.0      53.8
          86.0       3.3
          87.0       2.9
          88.0       1.5
          89.0       1.4
          91.0      28.0
          92.0       5.9
          93.0      12.7
          94.0       3.6
          95.0      11.7
          96.0       2.4
          97.0       4.0
          99.0       2.0
         101.0       2.4
         102.0       1.3
         103.0       4.7
         104.0       1.6
         105.0      10.6
         106.0       2.8
         107.0      22.6
         108.0       8.5
         109.0      13.7
         110.0       2.6
         111.0       5.0
         112.0       1.4
         113.0       3.2
         114.0       1.4
         115.0       8.5
         116.0       3.6
         117.0       6.7
         118.0       1.7
         119.0       8.2
         120.0       6.0
         121.0     100.0
         122.0      63.9
         123.0      13.0
         124.0       2.8
         125.0       6.1
         126.0       1.2
         127.0       4.4
         128.0       5.0
         129.0       5.1
         130.0       2.3
         131.0       8.0
         132.0       2.8
         133.0      12.8
         134.0      10.1
         135.0      39.0
         136.0       7.7
         137.0       8.1
         138.0       2.3
         139.0       5.7
         140.0       1.6
         141.0       4.8
         142.0       2.3
         143.0       4.0
         144.0       3.1
         145.0      10.5
         146.0       7.9
         147.0      35.8
         148.0       6.1
         149.0       5.6
         150.0       2.7
         151.0       4.7
         152.0       7.5
         153.0       7.2
         154.0       1.9
         155.0       3.2
         156.0       1.3
         157.0       6.6
         158.0       4.4
         159.0      17.6
         160.0      16.9
         161.0      15.5
         162.0       3.7
         163.0       6.6
         164.0       2.4
         165.0       6.6
         166.0       2.7
         167.0       3.2
         168.0       1.3
         169.0       3.2
         170.0       1.7
         171.0      13.6
         172.0       5.1
         173.0      10.6
         174.0       3.7
         175.0      10.9
         176.0       3.2
         177.0       5.6
         178.0       3.3
         179.0       5.8
         180.0       1.8
         181.0       3.4
         182.0       1.5
         183.0       3.1
         184.0       2.7
         185.0       7.8
         186.0       5.4
         187.0      15.1
         188.0       3.6
         189.0      11.7
         190.0       3.0
         191.0       5.7
         192.0       1.8
         193.0       3.9
         194.0       2.1
         195.0       7.5
         196.0       2.6
         197.0       4.7
         198.0       2.0
         199.0       3.9
         200.0       1.7
         201.0       2.4
         202.0       3.2
         203.0       4.6
         204.0       1.9
         205.0       4.2
         206.0       1.6
         207.0       4.2
         208.0       4.3
         209.0       5.5
         210.0       2.6
         211.0       5.2
         212.0       2.3
         213.0       6.1
         214.0       2.2
         215.0       3.0
         216.0       1.0
         217.0       1.9
         219.0       1.7
         220.0       1.1
         221.0       3.5
         222.0       2.5
         223.0      13.9
         224.0       6.3
         225.0       7.3
         226.0       4.4
         227.0       3.9
         228.0       1.4
         229.0       1.6
         231.0       1.3
         233.0       2.3
         234.0       1.3
         235.0       3.2
         236.0       3.6
         237.0       6.7
         238.0       4.6
         239.0       6.4
         240.0       3.2
         241.0       5.0
         242.0       3.3
         243.0       2.7
         244.0       1.4
         245.0       1.4
         247.0       2.1
         248.0       1.7
         249.0       2.6
         250.0       1.5
         251.0       3.5
         252.0       1.9
         253.0       6.6
         254.0       3.2
         255.0       4.2
         256.0       1.8
         257.0       2.0
         258.0       1.0
         259.0       1.5
         260.0       1.3
         261.0       2.7
         262.0       3.8
         263.0       4.3
         264.0       2.2
         265.0       3.4
         266.0       2.2
         267.0       7.7
         268.0       2.9
         269.0       2.6
         273.0       1.0
         274.0       1.2
         275.0       2.8
         276.0       1.9
         277.0      18.4
         278.0       6.9
         279.0      26.7
         280.0       7.1
         281.0       4.0
         282.0       8.2
         283.0       3.0
         284.0       1.9
         285.0       1.9
         289.0       1.4
         290.0       1.7
         291.0       1.7
         292.0       1.2
         293.0       3.3
         294.0       2.3
         295.0      31.6
         296.0       8.8
         297.0      14.3
         298.0       4.4
         299.0       2.5
         301.0       1.0
         303.0       1.4
         304.0       1.9
         305.0       1.9
         306.0       1.3
         307.0       5.1
         308.0       3.9
         309.0       2.2
         310.0       1.8
         311.0       2.3
         312.0       4.3
         313.0       8.4
         314.0       3.1
         315.0      93.6
         316.0      21.4
         317.0       3.8
         318.0       1.5
         319.0       1.0
         321.0       2.2
         323.0       7.2
         324.0       3.6
         325.0       8.9
         326.0       4.9
         327.0       2.4
         328.0       1.6
         329.0       2.8
         331.0       1.3
         333.0      17.3
         334.0       4.1
         335.0       1.1
         336.0       2.9
         337.0       1.5
         338.0       1.3
         339.0       2.1
         340.0       1.5
         341.0       2.8
         342.0       7.4
         343.0      70.7
         344.0      17.2
         345.0       9.0
         346.0       2.8
         347.0       1.1
         354.0      11.8
         355.0       3.3
         356.0       1.9
         359.0       1.5
         361.0       4.5
         362.0       3.5
         372.0       1.2
         374.0       4.7
         375.0       1.3
         426.0       2.6
         445.0       7.2
         446.0       2.2
         456.0       2.7
         476.0       1.1
    

400 MHz in CDCl3


  • 1H NMR 399.65 MHz
    C27 H37 F O6 0.033 g : 0.5 ml CDCl3
    9-fluoro-11beta,17,21-trihydroxy-16beta-methyl-1,4-pregnadiene-3,20-dione 17-monovalerate
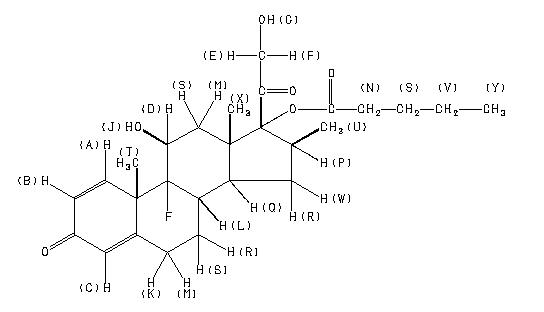
    ChemicalStructure
        Assign.     Shift(ppm)
    A 7.255 B 6.345 C 6.137 D 4.426 E *1 4.067 F *1 4.034 G 3.25 J 2.82 K 2.648 L 2.50 M 2.44 to 2.42 N 2.325 P 2.153 Q 2.01 R 1.95 S 1.58 T 1.565 U 1.405 V 1.338 W 1.24 X 0.963 Y 0.904 ASSIGNED BY H-H AND C-H COSY

         Hz     ppm     Int.
    

       2904.79   7.269    168
       2894.65   7.243    175
       2541.99   6.361    133
       2540.16   6.356    135
       2531.86   6.336    129
       2530.03   6.331    135
       2452.64   6.137    176
       2451.17   6.134    107
       1774.90   4.442     39
       1772.22   4.435     41
       1769.29   4.428     37
       1766.24   4.420     41
       1763.67   4.414     41
       1638.18   4.100     33
       1624.76   4.066    131
       1620.24   4.055    142
       1618.16   4.049    131
       1612.55   4.035    128
       1594.60   3.990     30
       1303.59   3.262     85
       1299.07   3.251    110
       1298.10   3.249    136
       1293.70   3.238     82
       1128.66   2.825     73
       1125.85   2.818    125
       1123.05   2.811     77
       1063.23   2.661     35
       1061.89   2.658     36
       1057.25   2.646     37
       1055.79   2.642     36
        987.92   2.472     34
        987.43   2.471     34
        984.13   2.463     62
        969.85   2.427     99
        967.53   2.421     84
        959.72   2.402     47
        959.23   2.401     47
        955.20   2.391     46
        937.50   2.346    156
        930.18   2.328    226
        922.36   2.308    202
        865.60   2.166     44
        857.91   2.147     44
        856.57   2.144     41
        804.32   2.013     30
        798.46   1.998     48
        789.06   1.975     63
        786.38   1.968     51
        783.69   1.961     63
        781.13   1.955    124
        772.71   1.934     67
        766.36   1.918     59
        648.68   1.624     57
        647.34   1.620     56
        641.60   1.606     96
        640.01   1.602     85
        638.67   1.599     62
        633.79   1.586    146
        625.49   1.566   1000
        617.43   1.545    105
        601.93   1.507     61
        565.06   1.414    328
        557.74   1.396    318
        552.73   1.384     50
        545.29   1.365    102
        537.84   1.346    145
        530.15   1.327    144
        522.83   1.309     91
        515.50   1.290     32
        499.63   1.251     42
        498.54   1.248     41
        488.65   1.223     41
        384.89   0.964    609
        368.90   0.924    375
        361.57   0.905    784
        354.25   0.887    318
    

in CDCl3



KBr disc



nujol mull