图谱信息 供应商 相关产品
网站主页CAS数据库列表 21524-34-5更多图谱2-溴-1,3,5-三异丙苯(21524-34-5)红外图谱(IR1)

2-溴-1,3,5-三异丙苯

产品名称 2-溴-1,3,5-三异丙苯

CAS号21524-34-5

分子式C15H23Br

分子量283.25

展开


  • Mass

    MS-NW-6118          
    2-bromo-1,3,5-triisopropylbenzene
    C15H23Br            (Mass of molecular ion:    282)
    

       Source Temperature: 260 °C
       Sample Temperature: 190 °C
       Reservoir, 75 eV
    

          15.0       1.0
          27.0       8.6
          29.0       3.3
          39.0       6.1
          41.0      22.8
          42.0       1.0
          43.0      89.4
          44.0       3.0
          50.0       1.1
          51.0       4.3
          52.0       1.2
          53.0       3.4
          55.0       2.6
          63.0       3.1
          64.0       3.9
          65.0       3.8
          67.0       1.5
          70.0       1.5
          70.5       1.5
          71.0       3.0
          72.0       1.0
          75.0       1.5
          76.0       2.7
          77.0       7.5
          77.5       1.0
          78.0       2.9
          79.0       2.8
          89.0       1.4
          91.0      14.8
          92.0       1.5
         102.0       1.5
         103.0       2.7
         104.0       2.2
         105.0       6.5
         111.0       1.6
         112.0       1.5
         115.0      10.4
         116.0       4.8
         117.0      12.6
         118.0       4.2
         119.0       4.5
         126.0       1.7
         127.0       4.3
         128.0      10.3
         129.0       9.5
         130.0       5.7
         131.0       8.0
         132.0       2.0
         133.0       2.1
         141.0       4.9
         142.0       3.6
         143.0       4.8
         144.0       3.1
         145.0      10.3
         146.0       5.4
         147.0       1.7
         153.0       1.2
         155.0       1.3
         156.0       1.0
         157.0       2.4
         158.0       1.1
         159.0       6.8
         160.0       1.8
         169.0       1.9
         171.0       1.8
         173.0       3.5
         175.0       1.2
         183.0       2.8
         185.0       2.6
         187.0       2.1
         188.0       1.3
         197.0       2.2
         199.0       1.8
         203.0       8.4
         204.0       1.7
         211.0       4.0
         213.0       3.5
         225.0       7.7
         226.0       1.2
         227.0       6.8
         228.0       1.1
         239.0      12.7
         240.0       2.1
         241.0      12.4
         242.0       2.0
         253.0       5.4
         254.0       1.2
         255.0       4.9
         256.0       1.1
         267.0      99.6
         268.0      17.8
         269.0     100.0
         270.0      17.2
         271.0       1.5
         282.0      43.5
         283.0       8.0
         284.0      42.4
         285.0       7.6
    

400 MHz in CDCl3


  • 1H NMR 399.65 MHz
    C15 H23 Br 0.05 ml : 0.5 ml CDCl3
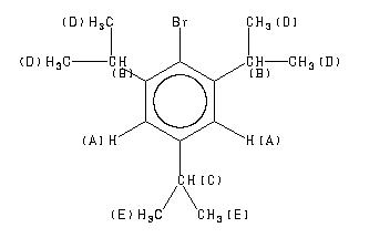
    2-bromo-1,3,5-triisopropylbenzene
    ChemicalStructure
        Assign.     Shift(ppm)
    A 6.985 B 3.487 C 2.862 D 1.242 E 1.240

         Hz     ppm     Int.
    

       2791.63   6.986    369
       1407.47   3.522     38
       1400.63   3.505     94
       1393.80   3.488    127
       1386.96   3.471     98
       1380.13   3.454     41
       1151.12   2.881     41
       1144.17   2.863     57
       1137.21   2.846     44
        500.12   1.252   1000
        499.15   1.249    842
        493.16   1.234    988
        492.07   1.232    886
    

in CDCl3



liquid film