图谱信息 供应商 相关产品
网站主页CAS数据库列表 2168-06-1更多图谱3,3,3-三对氯苯丙酸(2168-06-1)红外图谱(IR1)

3,3,3-三对氯苯丙酸

产品名称 3,3,3-三对氯苯丙酸

CAS号2168-06-1

分子式C21H15Cl3O2

分子量405.7


  • Mass

    MS-IW-0033          
    3,3,3-tris(p-chlorophenyl)propionic acid
    C21H15Cl3O2         (Mass of molecular ion:    404)
    

       Source Temperature: 210 °C
       Sample Temperature: 140 °C
       Direct, 75 eV
    

          75.0       1.1
         101.0       1.2
         102.0       1.0
         118.5       1.0
         119.0       1.4
         119.5       2.7
         120.0       1.2
         137.0       1.8
         139.0       1.6
         163.0       1.1
         176.0       1.6
         178.0       1.5
         199.0       1.4
         212.0       1.6
         233.0       8.5
         234.0       1.3
         235.0       6.0
         236.0       1.1
         237.0       2.3
         239.0       7.9
         240.0       3.3
         251.0       1.6
         252.0       1.5
         253.0       1.5
         273.0       1.6
         275.0       9.7
         276.0       2.2
         277.0       3.3
         288.0       1.3
         309.0       3.5
         310.0       2.4
         311.0       3.5
         312.0       1.7
         313.0       1.1
         345.0     100.0
         346.0      21.2
         347.0      98.6
         348.0      20.4
         349.0      32.7
         350.0       6.6
         351.0       4.1
         358.0       2.4
         360.0       2.4
         404.0      10.9
         405.0       2.9
         406.0      10.9
         407.0       2.6
         408.0       3.7
    

400 MHz in CDCl3


  • 1H NMR 399.65 MHz
    C21 H15 Cl3 O2 0.032 g : 0.5 ml CDCl3
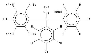
    3,3,3-tris(p-chlorophenyl)propionic acid
    ChemicalStructure
        Assign.     Shift(ppm)
    A 7.233 B 7.079 C 3.618

         Hz     ppm     Int.
    

       2905.64   7.271     28
       2903.20   7.265     43
       2898.07   7.252    241
       2895.39   7.245    836
       2893.31   7.240    291
       2888.67   7.229    332
       2886.60   7.223   1000
       2883.79   7.216    154
       2876.83   7.199     22
       2850.59   7.133     23
       2843.51   7.116     29
       2841.67   7.111     39
       2835.94   7.097    169
       2833.13   7.090    989
       2831.05   7.084    307
       2826.42   7.073    285
       2824.34   7.068    714
       2821.53   7.061    107
       1446.17   3.619    491
    

in CDCl3



KBr disc



nujol mull