400 MHz in DMSO-d6 at 50.C
-
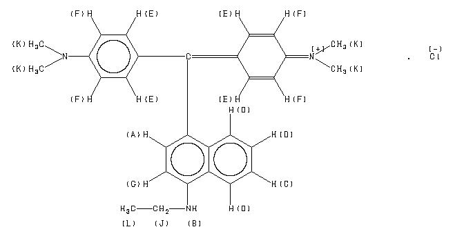
1H NMR 399.65 MHz C29 H32 Cl N3 0.038 g : 0.5 ml DMSO-d6 at 50 C Victoria Blue R 
Assign. Shift(ppm)
A 8.438 B 8.3 C 7.44 D 7.32 E 7.259 F 6.937 G 6.827 J 3.53 K 3.206 L 1.346
Hz ppm Int.3376.71 8.450 33 3368.29 8.429 35 2930.54 7.333 95 2925.42 7.320 41 2920.41 7.308 57 2905.76 7.271 108 2901.86 7.262 39 2901.49 7.261 39 2896.97 7.249 121 2776.86 6.949 130 2772.22 6.937 31 2767.82 6.926 115 2732.91 6.839 43 2724.24 6.817 44 1415.16 3.541 53 1408.20 3.524 58 1407.84 3.523 58 1281.37 3.207 1000 545.17 1.365 68 538.09 1.347 145 530.88 1.329 69
更多供应商




