-
MS-NW-8660 (m-(trifluoromethyl)phenyl)acetone C10H9F3O (Mass of molecular ion: 202)
Source Temperature: 270 °C Sample Temperature: 150 °C Reservoir, 75 eV
15.0 1.2 39.0 1.7 43.0 100.0 44.0 2.3 51.0 1.2 63.0 2.3 75.0 1.2 83.0 1.0 89.0 2.1 91.0 1.2 109.0 5.0 119.0 2.4 139.0 1.0 140.0 2.4 145.0 1.6 159.0 10.7 160.0 1.2 173.0 2.2 183.0 3.9 202.0 2.5
400 MHz in CDCl3
-
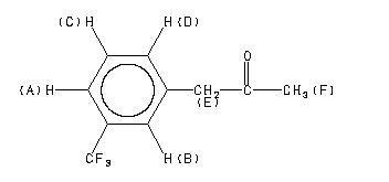
1H NMR 399.65 MHz C10 H9 F3 O 0.05 ml : 0.5 ml CDCl3 (m-(trifluoromethyl)phenyl)acetone 
Assign. Shift(ppm)
A 7.520 B 7.46 C 7.45 D 7.381 E 3.781 F 2.196
Hz ppm Int.3010.01 7.532 73 3002.44 7.513 113 2981.81 7.462 213 2981.20 7.460 200 2980.59 7.459 197 2973.75 7.441 141 2966.06 7.422 83 2952.64 7.389 121 2944.95 7.369 72 1511.23 3.782 517 881.84 2.207 29 877.56 2.196 1000
更多供应商





