90 MHz in CDCl3
-
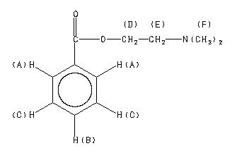
1H NMR 89.56 MHz C11 H15 N O2 0.05 ml : 0.5 ml CDCl3 2-(dimethylamino)ethyl benzoate 
Assign. Shift(ppm)
A 8.05 B 7.53 C 7.40 D 4.423 E 2.699 F 2.324 B AND C WERE CONFIRMED BY LAOCN PROGRAM.
Hz ppm Int.725.88 8.105 63 724.25 8.087 71 722.75 8.071 37 721.88 8.061 32 720.38 8.044 33 718.31 8.021 70 716.13 7.997 86 675.50 7.543 33 671.75 7.501 61 669.75 7.479 156 667.69 7.456 70 665.81 7.435 34 663.88 7.413 44 662.25 7.395 68 402.00 4.489 80 396.25 4.425 155 390.31 4.359 93 247.56 2.765 79 241.75 2.700 132 235.88 2.634 69 208.19 2.325 1000
更多供应商




