图谱信息 供应商 相关产品
网站主页CAS数据库列表 2210-25-5更多图谱N-异丙基丙烯酰胺(2210-25-5)红外图谱(IR2)

N-异丙基丙烯酰胺

产品名称 N-异丙基丙烯酰胺

CAS号2210-25-5

分子式C6H11NO

分子量113.16

展开


  • Mass

    MS-NW-9462          
    n-isopropylacrylamide
    C6H11NO             (Mass of molecular ion:    113)
    

       Source Temperature: 250 °C
       Sample Temperature: 160 °C
       Reservoir, 75 eV
    

          15.0       1.9
          18.0       3.0
          26.0       2.3
          27.0      25.2
          28.0       6.1
          29.0       1.0
          30.0       1.7
          39.0       3.9
          40.0       1.3
          41.0      11.4
          42.0       9.5
          43.0      17.6
          44.0      92.0
          45.0       3.0
          53.0       1.1
          54.0       2.2
          55.0     100.0
          56.0       5.3
          57.0       2.7
          58.0      17.9
          69.0       1.1
          70.0       3.3
          71.0       1.0
          72.0       5.3
          84.0       4.4
          85.0       3.7
          98.0      58.4
          99.0       3.5
         112.0       3.2
         113.0      13.9
         114.0       3.4
    

400 MHz in CDCl3


  • 1H NMR 399.65 MHz
    C6 H11 N O 0.036 g : 0.5 ml CDCl3
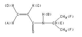
    N-isopropylacrylamide
    ChemicalStructure
        Assign.     Shift(ppm)
    A 6.257 B 6.2 C 6.155 D 5.602 E 4.156 F 1.187

         Hz     ppm     Int.
    

       2513.06   6.289     82
       2511.23   6.284     90
       2496.09   6.246    186
       2494.26   6.242    180
       2470.58   6.182    171
       2460.57   6.157    173
       2453.61   6.140     76
       2443.48   6.115     86
       2244.63   5.617    131
       2242.80   5.612    127
       2234.62   5.592    119
       2232.79   5.587    124
       1671.88   4.184     46
       1665.28   4.167     64
       1663.82   4.164     51
       1658.69   4.151     52
       1657.35   4.148     64
       1650.76   4.131     47
        477.91   1.196   1000
        471.19   1.180    975
    

in CDCl3



KBr disc



nujol mull