图谱信息 供应商 相关产品
网站主页CAS数据库列表 22232-54-8更多图谱卡比吗唑(22232-54-8)核磁图(13CNMR)

卡比吗唑

产品名称 卡比吗唑

CAS号22232-54-8

分子式C7H10N2O2S

分子量186.23

展开


  • Mass

    MS-NW-8000          
    ethyl 3-methyl-2-thioxo-4-imidazoline-1-carboxylate
    C7H10N2O2S          (Mass of molecular ion:    186)
    

       Source Temperature: 150 °C
       Sample Temperature: 120 °C
       Direct, 75 eV
    

          15.0       9.5
          17.0       1.6
          18.0       6.4
          26.0       3.7
          27.0      23.1
          28.0      11.8
          29.0      62.6
          30.0       3.6
          40.0       5.3
          41.0       7.0
          42.0      43.4
          43.0       2.5
          44.0       3.1
          45.0       9.7
          46.0       1.7
          52.0       2.2
          53.0       2.0
          54.0       9.6
          55.0      16.6
          56.0      17.3
          57.0       2.2
          58.0       2.8
          59.0       3.5
          60.0       2.2
          68.0       5.8
          69.0      16.8
          70.0       2.0
          71.0       5.0
          72.0      46.3
          73.0       4.5
          74.0       3.7
          79.0       1.0
          80.0       1.8
          81.0      27.7
          82.0       9.9
          83.0       4.2
          84.0       2.1
          85.0       1.4
          86.0      10.8
          87.0       2.0
          95.0       1.5
          97.0       1.2
          99.0       2.8
         107.0       1.3
         109.0      25.6
         110.0       2.2
         112.0       1.2
         113.0      48.8
         114.0     100.0
         115.0       8.7
         116.0       4.5
         127.0       9.4
         141.0       8.7
         142.0       2.2
         186.0      75.4
         187.0       8.0
         188.0       4.0
    

400 MHz in CDCl3


  • 1H NMR 399.65 MHz
    C7 H10 N2 O2 S 0.027 g : 0.5 ml CDCl3
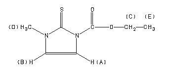
    ethyl 3-methyl-2-thioxo-4-imidazoline-1-carboxylate
    ChemicalStructure
        Assign.     Shift(ppm)
    A 7.211 B 6.696 C 4.477 D 3.584 E 1.439 J(A,B)=2.8HZ

         Hz     ppm     Int.
    

       2883.30   7.215    221
       2880.49   7.208    225
       2677.61   6.700    184
       2674.93   6.694    181
       1800.17   4.505     99
       1792.97   4.487    299
       1785.89   4.469    316
       1778.81   4.451    101
       1432.50   3.585   1000
        582.40   1.458    299
        575.20   1.440    630
        568.12   1.422    307
    

in CDCl3



KBr disc



nujol mull