图谱信息 供应商 相关产品
网站主页CAS数据库列表 22348-32-9更多图谱(R)-(+)-α,α-二苯基脯氨醇(22348-32-9)红外图谱(IR2)

(R)-(+)-α,α-二苯基脯氨醇

产品名称 (R)-(+)-α,α-二苯基脯氨醇

CAS号22348-32-9

分子式C17H19NO

分子量253.35

展开


  • Mass

    MS-IW-7563          
    (R)-alpha-(2-pyrrolidinyl)benzhydryl alcohol
    C17H19NO            (Mass of molecular ion:    253)
    

       Source Temperature: 150 °C
       Sample Temperature: 120 °C
       Direct, 75 eV
    

          18.0       1.1
          28.0       3.5
          41.0       2.7
          43.0       4.5
          51.0       1.9
          68.0       3.0
          69.0       1.8
          70.0     100.0
          71.0       6.5
          77.0       8.7
          78.0       1.0
         105.0      10.8
         152.0       1.3
         165.0       2.6
         167.0       1.9
         176.0       1.1
         181.0       1.4
         182.0       4.2
         183.0       1.7
         206.0       2.0
         234.0       6.6
         235.0       6.9
         236.0       1.2
    

400 MHz in CDCl3


  • 1H NMR 399.65 MHz
    C17 H19 N O 0.041 g : 0.5 ml CDCl3
    (R)-alpha-(2-pyrrolidinyl)benzhydryl alcohol
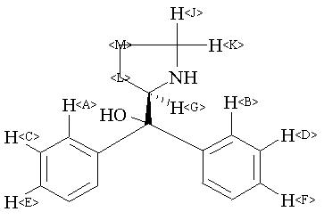
    ChemicalStructure
        Assign.     Shift(ppm)
    A *1 7.560 B *1 7.491 C *2 7.28 D *2 7.26 E *3 7.15 F *3 7.14 G 4.231 J *4 2.998 K *4 2.909 L 1.70 M 1.57

         Hz     ppm     Int.
    

       3027.10   7.575    468
       3025.76   7.572    570
       3023.80   7.567    180
       3019.53   7.556    336
       3018.55   7.553    621
       3017.46   7.551    592
       3015.38   7.546     95
       2999.51   7.506    487
       2998.17   7.502    589
       2996.22   7.498    184
       2991.94   7.487    345
       2990.97   7.484    649
       2989.87   7.482    608
       2987.92   7.477    106
       2917.60   7.301     95
       2915.89   7.297    355
       2913.94   7.292    151
       2908.45   7.278    947
       2900.63   7.258   1000
       2894.65   7.243    207
       2893.07   7.240    429
       2891.11   7.235    100
       2866.94   7.174    155
       2865.72   7.171    285
       2864.38   7.168    201
       2863.77   7.166    203
       2862.43   7.163    299
       2861.21   7.160    197
       2860.11   7.157    170
       2858.40   7.153    385
       2857.06   7.149    233
       2855.10   7.145    379
       2853.27   7.140    143
       2852.29   7.137    128
       2851.07   7.134    181
       2849.73   7.131    119
       2849.12   7.130    120
       2847.78   7.126    164
       2846.56   7.123     94
       1698.36   4.250    234
       1690.67   4.231    422
       1683.11   4.212    216
       1195.56   2.992    159
       1194.21   2.989    162
       1189.09   2.976    146
       1173.95   2.938    147
       1166.75   2.920    320
       1159.18   2.901    194
       1157.47   2.897    226
        693.12   1.735    139
        685.91   1.717    203
        684.08   1.712    190
        682.01   1.707    133
        679.57   1.701    220
        676.88   1.694    198
        674.56   1.688    183
        672.00   1.682    145
        667.36   1.670    179
        655.76   1.641    153
        648.32   1.623    145
        629.27   1.575    204
        621.83   1.556    194
    

in CDCl3



KBr disc



nujol mull