
右旋香芹酮
产品名称
右旋香芹酮
CAS号2244-16-8
分子式C10H14O
分子量150.22
InChIInChI=1S/C10H14O/c1-7(2)9-5-4-8(3)10(11)6-9/h4,9H,1,5-6H2,2-3H3/t9-/m0/s1
InChIKeyULDHMXUKGWMISQ-VIFPVBQESA-N
SmilesC1(=O)C[C@@H](C(C)=C)CC=C1C
展开
收起
-
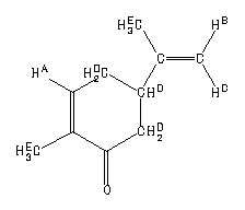
Assign. Shift(ppm)
A 6.76
B *1 4.81
C *1 4.76
D 2.94 to 2.01
E 1.83 to 1.71
Spectral Code: 1H NMR : 90 MHz in CDCl3
-
ppm Int. Assign.
199.50 326 1
146.67 588 2
144.59 674 3
135.42 380 4
110.48 914 5
43.15 829 6
42.54 1000 7
31.31 759 8
20.48 818 9
15.61 727 10
Spectral Code: 13C NMR : in CDCl3
-
Spectral Code: IR : liquid film
右旋香芹酮(2244-16-8)红外图谱(IR1) 相关产品图谱