图谱信息 供应商 相关产品
网站主页CAS数据库列表 2246-46-0更多图谱噻唑偶氮苯二酚(2246-46-0)核磁图(1HNMR)

噻唑偶氮苯二酚

产品名称 噻唑偶氮苯二酚

CAS号2246-46-0

分子式C9H7N3O2S

分子量221.24

展开


  • Mass

    MS-NW-7144          
    4-(2-thiazolylazo)resorcinol
    C9H7N3O2S           (Mass of molecular ion:    221)
    

       Source Temperature: 190 °C
       Sample Temperature: 150 °C
       Direct, 75 eV
    

          17.0       1.3
          18.0       5.2
          26.0       4.1
          27.0      12.9
          28.0       7.7
          29.0       4.1
          31.0       1.2
          32.0       1.1
          37.0       1.9
          38.0       4.8
          39.0      23.3
          40.0       5.9
          41.0       5.6
          42.0       5.2
          43.0       2.1
          44.0       2.0
          45.0      18.7
          46.0       2.4
          47.0       1.1
          50.0       5.2
          51.0      11.8
          52.0      21.5
          53.0      26.6
          54.0       4.6
          55.0      20.8
          56.0       1.0
          57.0       8.2
          58.0      23.4
          59.0       5.7
          60.0       1.6
          61.0       1.0
          62.0       1.6
          63.0       6.2
          64.0       1.8
          65.0       2.7
          66.0       4.6
          67.0       5.3
          68.0       6.4
          69.0      32.0
          70.0       2.6
          71.0       2.5
          73.0       2.7
          76.0       1.6
          77.0       2.6
          78.0       2.8
          79.0       6.2
          80.0      20.2
          81.0      57.3
          82.0       4.0
          82.5       1.0
          83.0       1.4
          84.0       3.4
          85.0       6.7
          86.0      12.0
          87.0       1.1
          92.0       1.3
          93.0       2.2
          94.0       2.0
          95.0       9.9
          96.0       1.7
          98.0       1.2
          99.0       2.8
         100.0       9.8
         101.0       1.3
         104.0       1.2
         108.0       6.3
         109.0     100.0
         110.0       8.1
         110.5       2.5
         111.0       1.4
         112.0       1.3
         120.0      11.0
         121.0       1.8
         122.0       5.3
         123.0       2.6
         124.0       1.7
         125.0       1.9
         126.0       1.4
         132.0       1.9
         135.0       2.1
         136.0      10.2
         137.0      38.1
         138.0       3.8
         139.0       1.2
         148.0       3.7
         152.0       2.5
         164.0       3.1
         165.0      10.9
         166.0       1.5
         167.0       2.5
         176.0       1.1
         178.0       1.3
         192.0       9.1
         193.0      52.2
         194.0       6.6
         195.0       3.3
         220.0       2.1
         221.0      82.2
         222.0      10.5
         223.0       5.2
         243.0       2.7
    

400 MHz in DMSO-d6


  • 1H NMR 399.65 MHz
    C9 H7 N3 O2 S 0.040 g : 0.5 ml DMSO-d6
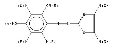
    4-(2-thiazolylazo)resorcinol
    ChemicalStructure
        Assign.     Shift(ppm)
    A *1 11.4 B *1 11.0 C 7.999 D 7.763 E 7.708 F 6.536 G 6.495

         Hz     ppm     Int.
    

       4564.69  11.422    155
       4380.79  10.962     75
       3201.02   8.010     43
       3198.45   8.004    857
       3195.16   7.995    855
       3107.60   7.776     37
       3104.31   7.768   1000
       3101.01   7.760    881
       3098.81   7.754     34
       3085.26   7.720    639
       3082.14   7.713     26
       3081.41   7.711     25
       3076.28   7.698    657
       2618.00   6.551    336
       2615.43   6.545    385
       2609.02   6.529    292
       2606.64   6.523    434
       2602.25   6.512     32
       2597.12   6.499    724
       2594.55   6.493    519
    

in DMSO-d6



KBr disc



nujol mull