图谱信息 供应商 相关产品
网站主页CAS数据库列表 2252-63-3更多图谱1-(4-氟苯基)哌嗪(2252-63-3)核磁图(1HNMR)

1-(4-氟苯基)哌嗪

产品名称 1-(4-氟苯基)哌嗪

CAS号2252-63-3

分子式C10H13FN2

分子量180.22


  • Mass

    MS-IW-0587          
    1-(p-fluorophenyl)piperazine
    C10H13FN2           (Mass of molecular ion:    180)
    

       Source Temperature: 260 °C
       Sample Temperature: 160 °C
       Reservoir, 75 eV
    

          18.0       1.5
          27.0       1.2
          28.0       7.0
          29.0       4.9
          30.0       3.0
          41.0       1.1
          42.0       3.2
          43.0       1.0
          56.0       9.8
          57.0       5.3
          70.0       1.3
          75.0       4.0
          83.0       1.4
          95.0       9.5
          96.0       1.8
          97.0       1.1
         109.0       4.9
         110.0       1.0
         111.0       1.0
         122.0      12.4
         123.0      12.2
         124.0       4.7
         125.0       1.1
         136.0       1.2
         138.0     100.0
         139.0       9.2
         150.0       1.9
         180.0      25.2
         181.0       3.3
         193.0       1.9
    

400 MHz in CDCl3


  • 1H NMR 399.65 MHz
    C10 H13 F N2 0.05 ml : 0.5 ml CDCl3
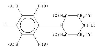
    1-(p-fluorophenyl)piperazine
    ChemicalStructure
        Assign.     Shift(ppm)
    A 6.947 B 6.854 C 3.034 D 3.003 E 2.21 ASSIGNED BY C-H COSY.

         Hz     ppm     Int.
    

       2789.67   6.981     38
       2786.01   6.972    383
       2783.45   6.965    144
       2781.37   6.960     59
       2779.17   6.955    204
       2777.71   6.951    481
       2776.86   6.949    612
       2775.27   6.945    185
       2772.95   6.939     94
       2770.87   6.934    182
       2768.55   6.928    559
       2764.77   6.918     82
       2748.78   6.878     70
       2745.12   6.869    518
       2742.68   6.863    180
       2740.48   6.858    529
       2738.16   6.852    257
       2735.96   6.846    340
       2733.64   6.841    143
       2731.32   6.835    317
       2727.66   6.826     40
       1219.48   3.052    245
       1217.53   3.047    325
       1215.45   3.042    454
       1213.13   3.036    486
       1211.06   3.031    650
       1209.11   3.026    977
       1203.74   3.012   1000
       1201.54   3.007    604
       1199.34   3.001    485
       1197.14   2.996    460
       1194.82   2.990    324
       1192.99   2.986    256
        881.71   2.207    184
    

in CDCl3



liquid film