-
MS-NW-8978 phenethyl isothiocyanate C9H9NS (Mass of molecular ion: 163)
Source Temperature: 260 °C Sample Temperature: 150 °C Reservoir, 75 eV
27.0 1.3 39.0 4.0 50.0 2.0 51.0 5.9 52.0 1.4 63.0 2.9 65.0 9.8 72.0 4.4 77.0 9.2 78.0 3.1 79.0 4.5 89.0 2.1 91.0 100.0 92.0 7.8 102.0 2.0 103.0 4.9 104.0 2.8 105.0 19.0 106.0 1.7 135.0 1.0 163.0 44.3 164.0 5.1 165.0 2.3
400 MHz in CDCl3
-
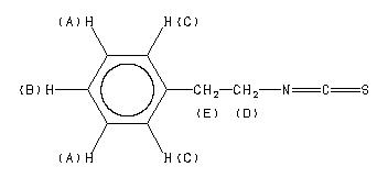
1H NMR 399.65 MHz C9 H9 N S 0.05 ml : 0.5 ml CDCl3 phenethyl isothiocyanate 
Assign. Shift(ppm)
A 7.310 B 7.254 C 7.185 D 3.657 E 2.931
Hz ppm Int.2931.88 7.337 122 2930.42 7.333 207 2928.83 7.329 103 2925.42 7.320 151 2923.58 7.316 505 2922.00 7.312 330 2917.48 7.301 209 2916.14 7.297 455 2905.76 7.271 131 2904.30 7.268 260 2902.83 7.264 176 2899.41 7.255 87 2896.97 7.249 280 2894.29 7.243 75 2891.11 7.235 61 2889.65 7.231 90 2888.31 7.228 64 2886.35 7.223 30 2876.34 7.198 476 2874.76 7.194 509 2872.68 7.188 152 2868.16 7.177 363 2867.68 7.176 373 2866.82 7.174 326 1468.51 3.675 524 1461.55 3.658 1000 1454.59 3.640 549 1178.34 2.949 357 1171.39 2.932 637 1164.43 2.914 329
更多供应商





