图谱信息 供应商 相关产品
网站主页CAS数据库列表 22625-57-6更多图谱5-氯甲基-2-氧唑啉酮(22625-57-6)红外图谱(IR2)

5-氯甲基-2-氧唑啉酮

产品名称 5-氯甲基-2-氧唑啉酮

CAS号22625-57-6

分子式C4H6ClNO2

分子量135.55

展开


  • Mass

    MS-IW-0204          
    5-chloromethyl-2-oxazolidinone
    C4H6ClNO2           (Mass of molecular ion:    135)
    

       Source Temperature: 250 °C
       Sample Temperature: 160 °C
       Reservoir, 75 eV
    

          15.0       3.3
          18.0       1.3
          27.0       3.9
          28.0      12.7
          29.0       6.8
          30.0       5.6
          42.0      18.2
          43.0       5.2
          44.0       1.1
          49.0       1.4
          54.0       1.0
          56.0       2.1
          58.0       5.8
          79.0       2.9
          86.0     100.0
          87.0       3.9
         135.0      12.4
         136.0       2.1
         137.0       4.1
    

400 MHz in DMSO-d6


  • 1H NMR 399.65 MHz
    C4 H6 Cl N O2 0.035 g : 0.5 ml DMSO-d6
    5-chloromethyl-2-oxazolidinone
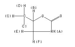
    ChemicalStructure
        Assign.     Shift(ppm)
    A 7.61 B 4.840 C *1 3.877 D *1 3.812 E *2 3.588 F *2 3.256

         Hz     ppm     Int.
    

       3042.72   7.614    263
       1946.66   4.871    170
       1942.63   4.861    214
       1941.77   4.859    255
       1940.55   4.856    230
       1937.62   4.849    345
       1936.52   4.846    295
       1935.67   4.844    294
       1933.59   4.839    256
       1932.74   4.837    312
       1931.64   4.834    362
       1928.71   4.826    230
       1927.49   4.823    244
       1926.64   4.821    255
       1922.61   4.811    187
       1559.81   3.903    419
       1555.79   3.893    415
       1547.85   3.874    899
       1543.95   3.864    864
       1529.79   3.828   1000
       1524.90   3.816    967
       1517.82   3.798    478
       1513.06   3.786    463
       1443.73   3.613    379
       1443.12   3.611    402
       1434.69   3.590    800
       1434.08   3.589    838
       1425.54   3.567    413
       1424.93   3.566    438
       1309.08   3.276    391
       1308.11   3.274    424
       1302.86   3.261    387
       1302.00   3.258    436
       1299.93   3.253    376
       1299.07   3.251    374
       1293.82   3.238    347
       1292.85   3.235    364
    

in DMSO-d6



KBr disc



nujol mull



4880 A,200 M,powder