400 MHz in CDCl3
-
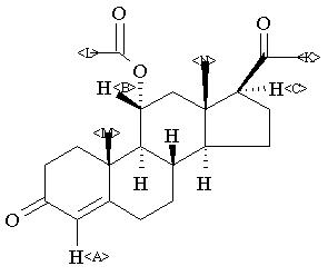
1H NMR 399.65 MHz C23 H32 O4 0.046 g : 0.5 ml CDCl3 3,20-dioxo-4-pregnen-11alpha-yl acetate 
Assign. Shift(ppm)
A 5.760 B 5.253 C 2.565 K 2.115 L 2.046 M 1.272 N 0.739
Hz ppm Int.2102.29 5.261 51 2097.17 5.248 51 1023.93 2.563 54 971.80 2.432 37 966.92 2.420 56 960.82 2.405 47 955.20 2.391 89 950.32 2.378 71 948.85 2.375 53 943.48 2.361 57 940.06 2.353 37 938.35 2.348 61 936.40 2.344 67 935.79 2.342 69 931.88 2.332 68 927.86 2.322 36 919.68 2.302 40 850.59 2.129 44 845.21 2.115 904 817.75 2.047 1000 800.42 2.003 37 795.65 1.991 39 791.26 1.980 41 786.99 1.970 62 785.03 1.965 61 780.64 1.954 47 700.32 1.753 42 692.38 1.733 72 688.48 1.723 46 599.00 1.499 84 588.13 1.472 142 577.39 1.445 69 524.05 1.312 40 519.90 1.301 49 508.42 1.273 604 295.65 0.740 479
更多供应商



