-
MS-NW-2380 N(alpha)-acetyl-D-tryptophan C13H14N2O3 (Mass of molecular ion: 246)
Source Temperature: 230 °C Sample Temperature: 150 °C Direct, 75 eV
17.0 1.5 18.0 7.7 28.0 1.9 43.0 5.4 44.0 1.3 51.0 1.2 77.0 5.3 102.0 2.3 103.0 4.3 115.0 1.3 117.0 3.1 128.0 1.4 129.0 3.6 130.0 100.0 131.0 10.7 132.0 1.2 143.0 1.0 158.0 1.6 159.0 1.8 170.0 1.2 187.0 15.8 188.0 1.9 228.0 1.4 246.0 5.3
400 MHz in DMSO-d6
-
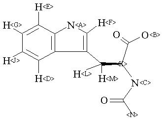
1H NMR 399.65 MHz C13 H14 N2 O3 0.041 g : 0.5 ml DMSO-d6 N(alpha)-acetyl-D-tryptophan 
Assign. Shift(ppm)
A 12.6 B 10.85 C 8.18 D 7.541 E 7.344 F 7.152 G 7.072 J 6.994 K 4.479 L *1 3.172 M *1 3.006 N 1.814 J(A,F)=2.4HZ J(C,K)=8.2HZ J(D,J)=7.9HZ J(D,G)=1.1HZ J(E,G)=8.1HZ J(E,J)=0.9HZ J(K,L)=5.0HZ J(K,M)=8.8HZ J(L,M)=-14.7HZ
Hz ppm Int.4335.55 10.849 95 4334.27 10.846 96 3271.90 8.187 106 3264.03 8.168 108 3017.85 7.552 108 3009.98 7.532 116 2939.46 7.356 129 2931.40 7.335 151 2859.78 7.156 157 2857.40 7.150 159 2834.68 7.093 54 2833.59 7.091 61 2827.72 7.076 90 2826.63 7.073 117 2819.67 7.056 74 2818.57 7.053 76 2802.26 7.012 81 2801.35 7.010 90 2794.39 6.993 125 2793.47 6.990 105 2787.43 6.975 56 2786.51 6.973 56 1801.08 4.507 34 1795.95 4.494 45 1792.47 4.486 66 1787.71 4.474 62 1784.59 4.466 48 1779.46 4.453 35 1278.87 3.200 48 1273.92 3.188 50 1264.22 3.164 72 1259.27 3.151 66 1211.83 3.033 69 1203.04 3.011 69 1197.18 2.996 51 1188.38 2.974 47 724.97 1.815 1000
更多供应商





