-
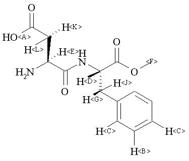
MS-NW-7876 L-alpha-aspartyl-L-phenylalanine 1-methyl ester C14H18N2O5 (Mass of molecular ion: 294)
Source Temperature: 200 °C Sample Temperature: 190 °C Direct, 75 eV
18.0 1.6 27.0 1.8 28.0 7.9 39.0 2.4 41.0 1.6 42.0 3.0 43.0 4.9 44.0 1.8 51.0 2.0 55.0 3.0 57.0 1.2 60.0 1.6 63.0 1.2 65.0 7.1 70.0 6.7 77.0 3.2 78.0 1.5 83.0 1.6 88.0 5.6 89.0 2.0 90.0 1.3 91.0 100.0 92.0 13.6 97.0 9.5 103.0 3.5 104.0 2.3 117.0 1.3 118.0 1.8 119.0 1.3 120.0 5.7 125.0 4.9 128.0 1.3 131.0 3.7 132.0 1.0 143.0 11.0 144.0 1.2 146.0 1.0 162.0 1.0 171.0 12.1 172.0 1.2 262.0 27.7 263.0 4.7
400 MHz in DMSO-d6
-
1H NMR 399.65 MHz C14 H18 N2 O5 0.038 g : 0.5 ml DMSO-d6 L-alpha-aspartyl-L-phenylalanine 1-methyl ester 
Assign. Shift(ppm)
A 8.90 B 7.292 C 7.23 D 4.49 E 3.700 F 3.607 G *1 3.047 J *1 2.946 K *2 2.466 L *2 2.229
Hz ppm Int.2923.13 7.315 67 2921.60 7.311 41 2918.70 7.304 52 2914.73 7.294 171 2911.99 7.287 59 2908.63 7.278 204 2893.98 7.242 316 2891.08 7.235 89 2890.01 7.232 87 2887.57 7.226 191 2882.23 7.212 40 2880.71 7.209 40 1795.65 4.494 76 1753.23 4.387 50 1485.90 3.719 45 1481.32 3.707 50 1476.59 3.695 52 1472.17 3.684 46 1441.65 3.608 1000 1229.10 3.076 37 1223.60 3.062 41 1215.36 3.042 68 1209.87 3.028 61 1187.29 2.971 65 1178.44 2.949 69 1173.40 2.937 44 1164.70 2.915 40 997.62 2.497 61 996.55 2.494 53 991.82 2.482 46 980.07 2.453 56 975.65 2.442 52 901.79 2.257 48 892.49 2.234 49 885.62 2.216 39 876.16 2.193 36
更多供应商






