图谱信息 供应商 相关产品
网站主页CAS数据库列表 2287-83-4更多图谱双(2-乙基已基)衣康酸酯(2287-83-4)红外图谱(IR1)

双(2-乙基已基)衣康酸酯

产品名称 双(2-乙基已基)衣康酸酯

CAS号2287-83-4

分子式C21H38O4

分子量354.52

展开


  • Mass

    MS-NW-5327          
    bis(2-ethylhexyl) methylenesuccinate
    C21H38O4            (Mass of molecular ion:    354)
    

       Source Temperature: 280 °C
       Sample Temperature: 190 °C
       Reservoir, 75 eV
    

          27.0       5.9
          28.0       3.7
          29.0      16.8
          39.0       5.9
          40.0       6.6
          41.0      31.2
          42.0       6.4
          43.0      45.6
          44.0       1.6
          53.0       1.8
          54.0       2.0
          55.0      24.6
          56.0      13.9
          57.0     100.0
          58.0       4.4
          67.0       1.8
          68.0       5.9
          69.0      12.0
          70.0      50.3
          71.0      73.6
          72.0       4.6
          82.0       2.9
          83.0      16.6
          84.0       9.3
          85.0       7.8
          86.0       8.1
          97.0       1.9
          98.0       1.0
          99.0       1.2
         111.0       1.9
         112.0      32.8
         113.0      53.0
         114.0       6.1
         126.0       4.6
         127.0       1.0
         130.0       2.7
         131.0      30.6
         132.0       2.4
         144.0       2.9
         225.0       1.7
         243.0       1.9
    

400 MHz in CDCl3

90 MHz in CDCl3


  • 1H NMR 399.65 MHz
    C21 H38 O4 0.05 ml : 0.5 ml CDCl3
    bis(2-ethylhexyl) methylenesuccinate
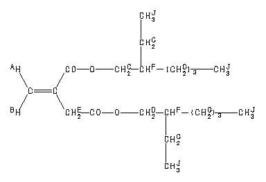
    ChemicalStructure
        Assign.     Shift(ppm)
    A 6.316 B 5.685 C *1 4.09 D *1 4.07 E *2 4.02 F *2 4.00 G 3.343 J *3 1.61 K *3 1.56 L 1.42 to 1.26 M *4 0.90 N *4 0.89 90MHZ : HSP-02-564 J(A,B)=1.1HZ J(B,G)=-1.0HZ

         Hz     ppm     Int.
    

       2524.78   6.318    270
       2523.80   6.316    278
       2272.71   5.687    243
       2271.48   5.684    248
       1646.61   4.121     43
       1640.99   4.107     53
       1635.62   4.093    222
       1631.35   4.082    250
       1630.13   4.079    256
       1625.61   4.068    223
       1620.48   4.055     52
       1617.43   4.048     42
       1614.62   4.041     51
       1611.69   4.033     43
       1606.45   4.020    208
       1603.03   4.012    225
       1600.83   4.006    232
       1597.05   3.997    216
       1592.16   3.984     45
       1586.18   3.969     39
       1336.67   3.345    516
       1336.18   3.344    519
        650.88   1.629     51
        644.90   1.614     74
        638.92   1.599     69
        632.81   1.584     54
        630.74   1.579     58
        624.76   1.564     72
        618.65   1.548     60
        612.79   1.534     32
        566.53   1.418     59
        559.08   1.399    184
        551.64   1.381    275
        544.31   1.362    296
        536.62   1.343    299
        532.47   1.333    194
        529.17   1.325    349
        525.27   1.315    363
        523.19   1.310    533
        519.65   1.301    532
        517.21   1.295    455
        510.99   1.279    619
        508.91   1.274    505
        374.27   0.937     45
        368.53   0.923    447
        361.21   0.904   1000
        359.74   0.901    820
        357.06   0.894    691
        352.29   0.882    926
        344.85   0.863    349
    


  • 1H NMR 89.56 MHz
    C21 H38 O4 0.04 ml : 0.5 ml CDCl3
    bis(2-ethylhexyl) methylenesuccinate
    ChemicalStructure
        Assign.     Shift(ppm)
    A 6.311 B 5.678 C *1 4.07 D *1 4.02 E 3.339 F 1.69 to 1.47 G 1.30 J 0.89 400MHZ : HSP-42-793

         Hz     ppm     Int.
    

        565.81   6.318    246
        564.69   6.306    256
        510.31   5.698     78
        509.25   5.687    236
        508.06   5.673    239
        506.94   5.661     89
        367.88   4.108    374
        362.56   4.049    456
        361.50   4.037    387
        356.13   3.977    357
        299.56   3.345    458
        298.69   3.336    453
        146.44   1.636     48
        145.44   1.624     52
        145.06   1.620     51
        144.75   1.617     53
        144.44   1.613     53
        143.44   1.602     51
        142.00   1.586     58
        140.75   1.572     66
        140.19   1.566     70
        139.50   1.558     72
        139.13   1.554     72
        138.00   1.541     80
        137.50   1.536     82
        136.88   1.529     84
        136.00   1.519     80
        134.38   1.501     96
        134.00   1.497     97
        133.50   1.491     96
        131.94   1.474    106
        129.88   1.451    201
        128.56   1.436    133
        126.44   1.412    217
        124.44   1.390    196
        122.19   1.365    287
        116.88   1.306    866
        114.94   1.284   1000
        107.13   1.197    172
        104.38   1.166     79
        102.56   1.146     59
        101.63   1.135     55
        101.06   1.129     52
        100.56   1.123     51
        100.13   1.119     52
         99.56   1.112     47
         99.38   1.110     47
         98.13   1.096     39
         92.81   1.037     50
         92.50   1.033     51
         92.19   1.030     51
         91.38   1.021     54
         90.88   1.015     56
         86.44   0.966    481
         85.38   0.954    478
         82.69   0.924    259
         80.69   0.901    983
         78.81   0.880    860
         74.06   0.827    254
         73.19   0.818    270
         71.44   0.798    203
         69.50   0.777     96
    

in CDCl3



liquid film