-
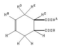
MS-NW-4600 cis-4-cyclohexene-1,2-dicarboxylic acid C8H10O4 (Mass of molecular ion: 170)
Source Temperature: 250 °C Sample Temperature: 180 °C Direct, 75 eV
17.0 3.4 18.0 16.1 26.0 2.1 27.0 8.3 28.0 2.3 37.0 1.1 38.0 2.3 39.0 11.4 40.0 2.1 41.0 4.1 43.0 1.0 44.0 2.2 45.0 1.9 50.0 4.0 51.0 6.9 52.0 4.6 53.0 4.8 54.0 2.7 55.0 1.4 63.0 1.2 65.0 2.7 66.0 1.2 67.0 1.0 77.0 12.5 78.0 8.8 79.0 100.0 80.0 34.8 81.0 3.6 96.0 1.1 97.0 1.1 107.0 1.3 123.0 6.0 124.0 37.6 125.0 3.1 152.0 3.4
400 MHz in DMSO-d6
-
1H NMR 399.65 MHz C8 H10 O4 0.034 g : 0.5 ml DMSO-d6 cis-4-cyclohexene-1,2-dicarboxylic acid 
Assign. Shift(ppm)
A 12.17 B 5.620 C 2.875 D *1 2.404 E *1 2.260
Hz ppm Int.4862.70 12.168 81 2246.35 5.621 1000 2239.03 5.603 32 2238.66 5.602 31 2238.11 5.601 31 2237.56 5.599 31 2235.91 5.595 30 2233.72 5.590 30 1155.60 2.892 186 1154.32 2.889 197 1149.37 2.876 608 1144.24 2.864 220 1006.13 2.518 283 1004.30 2.513 608 1002.47 2.509 816 1000.64 2.504 581 998.81 2.500 269 973.16 2.436 119 970.23 2.428 97 968.40 2.424 118 963.46 2.411 40 962.91 2.410 41 957.04 2.395 198 951.92 2.382 209 911.44 2.281 220 905.76 2.267 201 899.16 2.250 38 895.50 2.241 115 894.59 2.239 117 892.75 2.234 104 889.46 2.226 123
更多供应商






