图谱信息 供应商 相关产品
网站主页CAS数据库列表 2315-68-6更多图谱苯甲酸丙酯(2315-68-6)红外图谱(IR1)

苯甲酸丙酯

产品名称 苯甲酸丙酯

CAS号2315-68-6

分子式C10H12O2

分子量164.2

展开


  • Mass

    MS-NW-0777          
    propyl benzoate
    C10H12O2            (Mass of molecular ion:    164)
    

       Source Temperature: 220 °C
       Sample Temperature: 150 °C
       Reservoir, 75 eV
    

          27.0       4.9
          28.0       2.0
          29.0       1.0
          39.0       2.9
          41.0       4.3
          42.0       2.4
          43.0       2.5
          50.0       4.2
          51.0      14.1
          52.0       1.0
          59.0       1.8
          74.0       1.0
          75.0       1.0
          76.0       2.1
          77.0      38.3
          78.0       3.6
          79.0       2.9
         105.0     100.0
         106.0       8.4
         122.0      27.7
         123.0      44.0
         124.0       3.5
         135.0       1.5
         164.0       3.5
    

90 MHz in CDCl3


  • 1H NMR 89.56 MHz
    C10 H12 O2 0.04 ml : 0.5 ml CDCl3
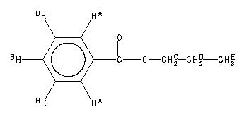
    propyl benzoate
    ChemicalStructure
        Assign.     Shift(ppm)
    A 8.044 B 7.30 to 7.65 C 4.277 D 1.781 E 1.032

         Hz     ppm     Int.
    

        725.75   8.104    322
        724.19   8.087    327
        722.56   8.068    150
        721.69   8.059    127
        720.25   8.043    109
        718.69   8.025    244
        718.19   8.020    244
        716.00   7.995    422
        714.75   7.981     86
        677.25   7.562    103
        676.13   7.550    141
        673.31   7.518    116
        673.00   7.515    113
        672.44   7.509    232
        670.56   7.488    665
        669.63   7.477    254
        668.50   7.465    252
        666.75   7.445    147
        664.75   7.423    153
        663.81   7.412    194
        663.19   7.405    266
        662.63   7.399    280
        657.50   7.342    113
        389.94   4.354    443
        383.31   4.280    950
        376.75   4.207    498
        170.75   1.907    128
        164.38   1.836    215
        163.94   1.831    197
        157.88   1.763    157
        156.69   1.750    268
        155.63   1.738    151
        150.13   1.677    182
        149.25   1.667     94
         99.13   1.107    467
         98.50   1.100    314
         92.19   1.030   1000
         91.44   1.021    541
         84.44   0.943    286
         83.50   0.933    164
    

in CDCl3



liquid film



4880 A,200 M,liquid