400 MHz in CDCl3
90 MHz in CDCl3
-
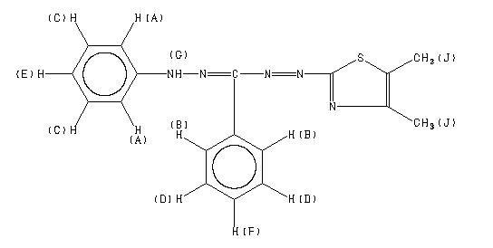
1H NMR 399.65 MHz C18 H17 N5 S 0.034 g : 0.5 ml CDCl3 1-(4,5-dimethyl-2-thiazolyl)-3,5-diphenylformazan 
Assign. Shift(ppm)
A *1 8.049 B *1 7.654 C *2 7.43 D *2 7.41 E *3 7.348 F *3 7.217 G 5. J 2.376
Hz ppm Int.3221.44 8.061 79 3219.97 8.057 112 3213.99 8.043 46 3212.77 8.039 101 3211.67 8.037 83 3064.21 7.668 70 3063.11 7.665 90 3056.52 7.648 55 3055.54 7.646 102 3054.57 7.644 91 2975.95 7.447 36 2974.98 7.444 59 2967.65 7.426 165 2966.43 7.423 90 2961.55 7.411 55 2960.08 7.407 164 2953.25 7.390 32 2951.42 7.386 75 2944.09 7.367 30 2942.87 7.364 52 2941.53 7.361 32 2935.42 7.345 59 2890.75 7.234 39 2883.42 7.215 59 949.58 2.377 1000
-
1H NMR 89.56 MHz C18 H17 N5 S 0.039 g : 0.5 ml CDCl3 1-(4,5-dimethyl-2-thiazolyl)-3,5-diphenylformazan 
Assign. Shift(ppm)
A *1 8.05 B *1 7.67 C 7.67 D 7.57 to 6.98 E 2.37
Hz ppm Int.725.38 8.100 80 723.31 8.077 63 722.69 8.070 62 721.13 8.052 50 720.31 8.043 49 719.56 8.035 50 718.88 8.027 47 717.31 8.010 105 715.56 7.990 95 691.31 7.719 60 689.69 7.701 74 684.25 7.641 83 682.69 7.623 136 681.63 7.611 117 671.38 7.497 77 670.69 7.489 83 670.31 7.485 84 669.75 7.479 82 666.38 7.441 130 665.94 7.436 133 663.94 7.414 177 663.25 7.406 182 660.75 7.378 183 658.63 7.355 191 655.75 7.322 122 653.13 7.293 86 651.56 7.276 93 649.81 7.256 77 648.38 7.240 85 647.44 7.230 45 645.31 7.206 59 644.75 7.200 62 212.63 2.375 1000
更多供应商




