图谱信息 供应商 相关产品
网站主页CAS数据库列表 23378-88-3更多图谱3,5-二氯-2-羟基苯磺酰氯(23378-88-3)红外图谱(IR2)

3,5-二氯-2-羟基苯磺酰氯

产品名称 3,5-二氯-2-羟基苯磺酰氯

CAS号23378-88-3

分子式C6H3Cl3O3S

分子量261.51

展开


  • Mass

    MS-NW-6568          
    3,5-dichloro-2-hydroxybenzenesulfonyl chloride
    C6H3Cl3O3S          (Mass of molecular ion:    260)
    

       Source Temperature: 130 °C
       Sample Temperature: 100 °C
       Direct, 75 eV
    

          17.0       1.1
          18.0       5.2
          28.0       3.6
          35.0       1.8
          36.0       9.3
          37.0       4.4
          38.0       3.0
          45.0       1.8
          47.0       1.6
          48.0       4.8
          48.5       1.0
          49.0       3.0
          50.0       3.6
          53.0       8.7
          60.0       2.6
          61.0      11.2
          62.0      21.6
          63.0      12.7
          64.0       5.5
          65.0       4.0
          66.0       1.7
          69.0       2.7
          71.0       1.4
          72.0       4.5
          73.0      12.7
          74.0       2.7
          75.0       4.0
          79.0       1.6
          80.0       1.6
          81.0       1.8
          82.0       2.7
          83.0       4.6
          84.0       1.6
          85.0       3.6
          87.0       2.4
          90.0       2.0
          91.0       1.6
          93.0       2.5
          95.0       1.0
          96.0       4.4
          97.0      46.9
          98.0       5.1
          99.0      15.5
         100.0       1.8
         107.0       3.7
         109.0       2.6
         112.0       4.6
         113.0       4.6
         120.0       1.5
         122.0       1.0
         125.0       7.0
         126.0       3.4
         127.0       2.7
         128.0       1.2
         129.0       3.5
         131.0       2.1
         132.0      31.5
         133.0      35.3
         134.0      22.3
         135.0      22.0
         136.0       4.7
         137.0       3.8
         141.0       1.1
         148.0       6.5
         149.0       2.4
         150.0       4.5
         151.0       1.6
         152.0       1.2
         160.0     100.0
         161.0      14.6
         162.0      67.9
         163.0       9.7
         164.0      13.2
         165.0       2.0
         177.0      23.1
         178.0       1.8
         179.0      14.9
         180.0       1.1
         181.0       2.9
         224.0      48.8
         225.0      25.2
         226.0      35.3
         227.0      17.2
         228.0       7.6
         229.0       3.5
         260.0      46.7
         261.0       3.8
         262.0      47.3
         263.0       3.6
         264.0      17.0
         265.0       1.3
         266.0       2.4
    

90 MHz in CDCl3


  • 1H NMR 89.56 MHz
    C6 H3 Cl3 O3 S 0.048 g : 0.5 ml CDCl3
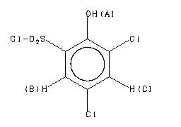
    3,5-dichloro-2-hydroxybenzenesulfonyl chloride
    ChemicalStructure
        Assign.     Shift(ppm)
    A 8.00 B 7.784 C 7.717 J(B,C)=2.5HZ.

         Hz     ppm     Int.
    

        716.19   7.997    285
        698.88   7.804    483
        696.38   7.776   1000
        694.19   7.752     25
        692.00   7.727    819
        689.50   7.699    401
        688.25   7.685     31
    

in CDCl3



KBr disc



nujol mull