图谱信息 供应商 相关产品
网站主页CAS数据库列表 2347-80-0更多图谱甲磺酸硫达唑嗪(2347-80-0)红外图谱(IR2)

甲磺酸硫达唑嗪

产品名称 甲磺酸硫达唑嗪

CAS号2347-80-0

分子式C22H30N4O2S2.2CH4O3S

分子量638.85


  • Mass

    MS-IW-3435          
    N,N-dimethyl-10-(3-(4-methyl-1-piperazinyl)propyl)-2-phenothiazinesulfonamide bis(methanesulfonate)
    1/2C22H30N4O2S2 CH4O3S(Mass of molecular ion:    446)
    

       Source Temperature: 200 °C
       Sample Temperature: 240 °C
       Direct, 75 eV
    

          15.0       4.8
          28.0       4.0
          29.0       1.7
          30.0       1.5
          31.0       3.4
          41.0       4.8
          42.0      21.0
          43.0      28.0
          44.0      12.7
          45.0       1.7
          48.0       2.5
          54.0       1.3
          55.0       2.7
          56.0      12.7
          57.0       7.2
          58.0      13.0
          59.0       2.1
          63.0       1.4
          64.0       1.8
          65.0       3.8
          68.0       1.6
          69.0       2.6
          70.0      73.7
          71.0      27.9
          72.0       6.0
          77.0       1.0
          78.0       4.4
          79.0      13.4
          81.0       7.0
          82.0       3.3
          83.0       3.8
          84.0       7.3
          85.0      11.0
          86.0       1.9
          95.0       1.8
          96.0      14.3
          97.0      11.9
          98.0      12.4
          99.0       9.7
         100.0       1.7
         109.0       1.1
         111.0      13.1
         112.0       2.6
         113.0     100.0
         114.0      20.4
         115.0       1.6
         124.0       1.0
         125.0       1.6
         126.0       3.0
         127.0      69.3
         128.0       6.1
         139.0       5.3
         140.0       2.8
         141.0      31.6
         142.0       3.1
         152.0       1.2
         153.0       2.0
         154.0       1.9
         166.0       1.4
         167.0       2.6
         171.0       1.5
         172.0       1.0
         178.0       1.9
         179.0       5.2
         180.0       3.8
         184.0       1.3
         185.0       1.4
         196.0       6.7
         197.0       9.6
         198.0      16.0
         199.0       6.2
         200.0       1.5
         204.0       1.1
         209.0       1.3
         210.0       8.0
         211.0      11.1
         212.0      26.6
         213.0       5.2
         214.0       4.4
         222.0       1.4
         223.0       5.0
         224.0       6.2
         225.0       3.8
         226.0       1.7
         236.0       1.6
         237.0       2.8
         238.0      10.0
         239.0       4.2
         240.0       1.3
         266.0       1.3
         267.0       2.3
         268.0       2.1
         287.0       2.6
         305.0       2.3
         306.0       9.2
         307.0       1.8
         308.0       1.1
         319.0      10.4
         320.0      31.6
         321.0       6.7
         322.0       3.5
         332.0       8.8
         333.0       6.3
         334.0       2.0
         337.0       1.7
         338.0      11.8
         339.0       3.3
         345.0       6.6
         346.0       6.0
         347.0       1.8
         359.0       1.4
         387.0       1.4
         389.0       3.1
         402.0       1.9
         403.0       1.0
         444.0       1.9
         446.0      22.3
         447.0       6.1
         448.0       2.8
    

400 MHz in DMSO-d6 at 50C

400 MHz in DMSO-d6


  • 1H NMR 399.65 MHz
    C22 H30 N4 O2 S2 0.042 g : 0.5 ml DMSO-d6 at 50C
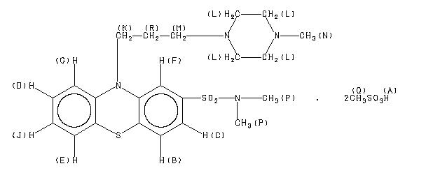
    N,N-dimethyl-10-(3-(4-methyl-1-piperazinyl)propyl)-2-phenothiazinesulfonamide bis(methanesulfonate)
    ChemicalStructure
        Assign.     Shift(ppm)
    A 7.438 B 7.32 C 7.29 D 7.22 E 7.22 F 7.158 G 7.048 J 4.058 K 3.5 L 3.28 M 2.883 N 2.666 P 2.443 R 2.101 HSP-43-174 IN CDCL3

         Hz     ppm     Int.
    

       2977.29   7.450     66
       2969.21   7.430     89
       2931.37   7.335     45
       2929.69   7.331     47
       2923.28   7.315     37
       2921.75   7.311     45
       2913.82   7.291     32
       2892.76   7.239     39
       2891.24   7.235     39
       2883.91   7.217     95
       2882.54   7.213     65
       2864.23   7.167     41
       2856.75   7.149     30
       2816.62   7.048     40
       2815.70   7.046     38
       1621.86   4.059     51
       1152.34   2.884    204
       1065.83   2.667    745
        976.87   2.445   1000
    


  • 1H NMR 399.65 MHz
    C22 H30 N4 O2 S2 0.038 g : 0.5 ml DMSO-d6
    N,N-dimethyl-10-(3-(4-methyl-1-piperazinyl)propyl)-2-phenothiazinesulfonamide bis(methanesulfonate)
    ChemicalStructure
        Assign.     Shift(ppm)
    A 10. B 7.468 C 7.333 D 7.31 E 7.251 F 7.219 G 7.175 J 7.063 K 4.057 L *1 3.7 M *1 3.3 N 2.892 P 2.651 Q 2.430 R 2.09 ASSIGNED BY H-H AND C-H COSY.

         Hz     ppm     Int.
    

       2989.35   7.480     53
       2981.26   7.460     71
       2935.49   7.346     32
       2933.65   7.341     32
       2927.40   7.325     32
       2925.72   7.321     31
       2895.05   7.244     36
       2885.89   7.222     42
       2884.37   7.218     39
       1155.85   2.893     70
       1059.72   2.652    518
        971.37   2.431   1000
    

in DMSO-d6



KBr disc



nujol mull