图谱信息 供应商 相关产品
网站主页CAS数据库列表 2348-71-2更多图谱溴化噻唑蓝四氮唑(2348-71-2)核磁图(13CNMR)

溴化噻唑蓝四氮唑

产品名称 溴化噻唑蓝四氮唑

CAS号2348-71-2

分子式C18H16BrN5S

分子量414.32

展开

400 MHz in D2O


  • 1H NMR 399.65 MHz
    C18 H16 Br N5 S saturated in D2O
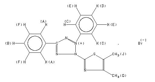
    3-(4,5-dimethyl-2-thiazolyl)-2,5-diphenyl-2H-tetrazolium bromide
    ChemicalStructure
        Assign.     Shift(ppm)
    A 8.361 B 7.925 C 7.84 D 7.83 E 7.78 F 7.75 G *1 2.505 J *1 2.294

         Hz     ppm     Int.
    

       3348.88   8.380     32
       3348.14   8.378     44
       3347.41   8.376     39
       3346.07   8.373    191
       3344.97   8.370    276
       3343.63   8.367    154
       3343.26   8.366    153
       3342.29   8.364     68
       3341.43   8.361     45
       3339.84   8.357     84
       3337.77   8.352    326
       3336.30   8.349    249
       3177.00   7.950     39
       3175.66   7.947     74
       3174.32   7.943     53
       3170.17   7.933     51
       3168.33   7.928    171
       3166.75   7.924     77
       3162.23   7.913     63
       3161.74   7.912     50
       3160.89   7.910    108
       3159.55   7.906     83
       3142.94   7.865     33
       3141.97   7.862     34
       3140.63   7.859    151
       3139.40   7.856    209
       3138.55   7.854    130
       3135.99   7.847     66
       3135.62   7.846     68
       3134.28   7.843    145
       3131.96   7.837    420
       3130.49   7.834    332
       3129.39   7.831    166
       3127.08   7.825    181
       3124.76   7.819     80
       3123.54   7.816     47
       3123.17   7.815     44
       3122.80   7.814     49
       3121.95   7.812     52
       3120.85   7.809    111
       3119.51   7.806    203
       3118.04   7.802    337
       3115.84   7.797    117
       3114.01   7.792     39
       3113.53   7.791     36
       3113.16   7.790     44
       3112.06   7.787     78
       3110.60   7.784    276
       3109.38   7.781    236
       3107.42   7.776     77
       3105.83   7.772     74
       3103.88   7.767    269
       3102.29   7.763    199
       3100.34   7.758     73
       3099.37   7.756     53
       3097.53   7.751    177
       3096.07   7.747    320
       3093.02   7.740     43
       3092.29   7.738     36
       3091.43   7.736     35
       3090.58   7.734     64
       3088.87   7.729    139
       3087.89   7.727     91
       1005.37   2.516     35
       1001.71   2.507    858
       1001.10   2.505    936
        997.56   2.497     62
        996.70   2.494     44
        995.73   2.492     38
        995.24   2.491     32
        994.75   2.490     34
        994.26   2.488     33
        917.48   2.296    922
        916.87   2.295   1000
        913.57   2.286     70
        912.60   2.284     49
        911.87   2.282     38
        911.01   2.280     33
        910.64   2.279     32
    

in CDCl3



KBr disc