-
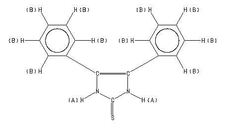
MS-NW-6937 4,5-diphenyl-2-imidazolethiol C15H12N2S (Mass of molecular ion: 252)
Source Temperature: 220 °C Sample Temperature: 190 °C Direct, 75 eV
39.0 2.2 45.0 1.1 50.0 1.7 51.0 4.5 52.0 1.0 62.0 1.2 63.0 3.0 75.0 1.1 76.0 2.9 77.0 9.1 78.0 1.0 89.0 4.1 90.0 1.7 96.5 1.5 103.0 3.8 104.0 10.3 105.0 1.3 109.5 1.0 115.0 1.3 116.0 1.9 121.0 2.9 126.0 3.3 139.0 1.4 148.0 1.5 149.0 1.9 152.0 1.0 163.0 1.6 164.0 2.1 165.0 18.2 166.0 3.6 167.0 1.1 177.0 1.4 178.0 1.9 190.0 2.2 191.0 1.3 192.0 2.3 193.0 15.2 194.0 3.5 218.0 6.7 219.0 8.7 220.0 7.6 221.0 1.2 225.0 1.0 237.0 1.3 250.0 1.0 251.0 11.3 252.0 100.0 253.0 18.5 254.0 5.9
400 MHz in DMSO-d6
-
1H NMR 399.65 MHz C15 H12 N2 S 0.033 g : 0.5 ml DMSO-d6 4,5-diphenyl-2-imidazolethiol 
Assign. Shift(ppm)
A 12.3 B 7.36 to 7.32
Hz ppm Int.4924.35 12.322 168 2949.70 7.381 211 2949.05 7.380 176 2947.13 7.375 258 2946.49 7.373 196 2945.21 7.370 204 2943.07 7.365 401 2942.22 7.362 335 2941.15 7.360 700 2939.44 7.356 1000 2937.09 7.350 521 2934.95 7.344 204 2933.88 7.342 298 2931.96 7.337 717 2931.10 7.335 835 2929.18 7.330 315 2926.19 7.322 498 2924.69 7.319 435 2923.84 7.317 745 2921.92 7.312 396 2918.50 7.303 185 2917.64 7.301 198 2912.94 7.289 67 2911.45 7.286 54 2909.52 7.281 34
更多供应商






