-
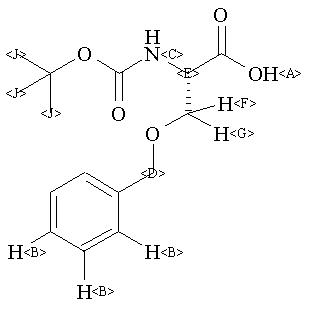
MS-IW-6139 o-benzyl-N-tert-butoxycarbonyl-L-serine C15H21NO5 (Mass of molecular ion: 295)
Source Temperature: 150 °C Sample Temperature: 130 °C Direct, 75 eV
18.0 1.8 27.0 1.3 28.0 1.8 29.0 3.3 31.0 2.3 39.0 3.8 41.0 10.6 42.0 1.7 43.0 8.0 44.0 4.1 51.0 1.7 55.0 1.7 56.0 3.5 57.0 50.2 58.0 2.5 59.0 10.3 63.0 1.0 65.0 6.1 74.0 8.7 77.0 2.6 79.0 2.9 87.0 3.5 88.0 5.5 89.0 6.6 90.0 1.6 91.0 100.0 92.0 13.5 105.0 1.9 107.0 7.8 108.0 2.7 120.0 1.8 121.0 3.1 132.0 7.4 133.0 7.3 143.0 1.1 148.0 20.5 149.0 2.2 150.0 2.3 194.0 5.3 209.0 2.7 221.0 1.2 222.0 1.3 238.0 2.6 239.0 5.7 263.0 2.0
400 MHz in CDCl3
-
1H NMR 399.65 MHz C15 H21 N O5 0.040 g : 0.5 ml CDCl3 O-benzyl-N-tert-butoxycarbonyl-L-serine 
Assign. Shift(ppm)
A 10.16 B 7.33 to 7.31 C 5.44 D 4.533 E *1 4.48 F 3.92 G *1 3.709 J 1.447
Hz ppm Int.2935.64 7.346 53 2933.96 7.342 38 2928.47 7.328 135 2924.65 7.319 69 2921.60 7.311 242 2914.28 7.293 229 2906.34 7.273 114 2179.72 5.455 37 2171.17 5.433 37 1811.68 4.534 420 1796.57 4.496 37 1792.91 4.487 32 1788.18 4.475 33 1571.04 3.932 30 1564.48 3.915 36 1561.58 3.908 35 1488.34 3.725 42 1484.99 3.716 46 1478.88 3.701 40 1475.68 3.693 37 578.46 1.448 1000
更多供应商





