-
MS-NW-2007 2,3-dimethylquinoxaline C10H10N2 (Mass of molecular ion: 158)
Source Temperature: 240 °C Sample Temperature: 170 °C Reservoir, 75 eV
27.0 3.1 38.0 1.4 39.0 3.3 42.0 1.5 50.0 13.8 51.0 4.3 52.0 1.9 53.0 1.0 62.0 1.1 63.0 3.1 64.0 1.6 74.0 2.5 75.0 6.4 76.0 28.0 77.0 20.0 78.0 1.7 79.0 3.1 89.0 4.3 90.0 5.5 102.0 4.0 116.0 3.8 117.0 100.0 118.0 9.4 143.0 3.0 157.0 1.6 158.0 85.5 159.0 10.4
90 MHz in CDCl3
-
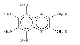
1H NMR 89.56 MHz C10 H10 N2 0.041 g : 0.5 ml CDCl3 2,3-dimethylquinoxaline 
Assign. Shift(ppm)
A 7.96 B 7.65 C 2.706
Hz ppm Int.718.94 8.028 55 715.44 7.989 61 713.06 7.962 47 712.31 7.954 39 708.94 7.916 91 688.56 7.689 97 685.56 7.655 44 684.75 7.646 44 682.31 7.619 61 678.81 7.580 56 242.38 2.707 1000
更多供应商







