图谱信息 供应商 相关产品
网站主页CAS数据库列表 2386-25-6更多图谱2,4-二甲基-3-乙酰基吡咯(2386-25-6)Raman光谱

2,4-二甲基-3-乙酰基吡咯

产品名称 2,4-二甲基-3-乙酰基吡咯

CAS号2386-25-6

分子式C8H11NO

分子量137.18

展开


  • Mass

    MS-NW-6221          
    3-acetyl-2,4-dimethylpyrrole
    C8H11NO             (Mass of molecular ion:    137)
    

       Source Temperature: 240 °C
       Sample Temperature: 190 °C
       Reservoir, 75 eV
    

          15.0       1.6
          18.0       1.0
          27.0       2.2
          28.0       3.9
          38.0       1.1
          39.0       6.9
          40.0       2.3
          41.0       5.8
          42.0       3.8
          43.0       6.9
          46.5       2.5
          50.0       1.1
          51.0       2.7
          52.0       2.9
          53.0      10.8
          54.0       1.3
          58.5       1.0
          60.5       7.5
          61.0       2.2
          63.0       1.9
          65.0       4.6
          66.0       3.8
          67.0       7.2
          68.5       1.4
          77.0       1.2
          81.0       2.5
          93.0       4.2
          94.0       9.3
         108.0       1.4
         118.0       1.2
         121.0       1.6
         122.0     100.0
         123.0       8.1
         136.0       2.2
         137.0      57.0
         138.0       5.7
    

90 MHz in CDCl3


  • 1H NMR 89.56 MHz
    C8 H11 N O 0.041 g : 0.5 ml CDCl3
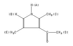
    3-acetyl-2,4-dimethylpyrrole
    ChemicalStructure
        Assign.     Shift(ppm)
    A 9.17 B 6.362 C 2.499 D 2.431 E 2.274 J(B,E)=1.1HZ. J(NH,B)=2.3HZ.

         Hz     ppm     Int.
    

        571.56   6.382     43
        570.44   6.370     56
        569.31   6.357     57
        568.19   6.345     46
        224.00   2.502    484
        223.63   2.497    482
        220.50   2.463     24
        217.69   2.431   1000
        214.81   2.399     26
        204.19   2.280    443
        203.13   2.269    448
    

in CDCl3



KBr disc



nujol mull