图谱信息 供应商 相关产品
网站主页CAS数据库列表 2389-45-9更多图谱N-Boc-N'-Cbz-L-赖氨酸(2389-45-9)红外图谱(IR2)

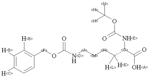
N-Boc-N'-Cbz-L-赖氨酸

产品名称 N-Boc-N'-Cbz-L-赖氨酸

CAS号2389-45-9

分子式C19H28N2O6

分子量380.44

展开


  • Mass

    MS-IW-6664          
    N(6)-benzyloxycarbonyl-N(2)-tert-butoxycarbonyl-L-lysine
    C19H28N2O6          (Mass of molecular ion:    380)
    

       Source Temperature: 190 °C
       Sample Temperature: 180 °C
       Direct, 75 eV
    

          15.0       1.4
          17.0       3.0
          18.0      16.8
          26.0       1.1
          27.0       5.6
          28.0      10.8
          29.0       5.5
          30.0       4.4
          31.0      11.9
          38.0       1.2
          39.0       8.4
          40.0       1.8
          41.0      22.3
          42.0       3.0
          43.0      13.5
          44.0      21.3
          50.0       2.4
          51.0       5.3
          52.0       2.4
          53.0       3.4
          54.0       2.9
          55.0       9.2
          56.0      14.5
          57.0      11.4
          59.0      42.0
          60.0       1.4
          63.0       1.4
          65.0       6.1
          67.0       1.5
          69.0       1.2
          70.0       2.4
          74.0       1.4
          77.0      11.3
          78.0       3.2
          79.0      25.3
          80.0       3.3
          81.0       1.5
          82.0       4.4
          83.0       5.7
          84.0       6.7
          85.0       1.1
          87.0       1.9
          89.0       2.8
          90.0       3.9
          91.0      63.5
          92.0       6.4
          97.0       1.0
          98.0       2.2
          99.0       1.2
         100.0       2.7
         101.0       1.8
         105.0       2.5
         106.0       2.1
         107.0      26.9
         108.0     100.0
         109.0       9.0
         110.0       2.7
         111.0       1.0
         120.0       1.1
         124.0       1.3
         126.0       1.2
         127.0       6.6
         128.0       7.1
         171.0       1.6
         173.0       2.3
         174.0       3.0
         217.0       1.3
         218.0       1.9
         280.0       3.6
         306.0       2.9
         324.0       1.0
    

400 MHz in CDCl3


  • 1H NMR 399.65 MHz
    C19 H28 N2 O6 0.041 g : 0.5 ml CDCl3
    N(6)-benzyloxycarbonyl-N(2)-tert-butoxycarbonyl-L-lysine
    ChemicalStructure
        Assign.     Shift(ppm)
    A 10.3 B 7.34 C 7.31 D 6.40 D 6.36 E 5.33 E 5.04 F 5.088 F 5.143 G 4.30 G 4.09 J 3.17 K *1 1.82 L *1 1.69 M 1.51 N 1.431 MIXTURE OF CONFORMERS

         Hz     ppm     Int.
    

       2936.40   7.348    255
       2932.59   7.338    363
       2924.96   7.319     62
       2921.75   7.311     54
       2916.72   7.299     36
       2055.51   5.144     43
       2033.54   5.089    180
       1717.38   4.298     23
       1272.74   3.185     60
       1271.97   3.183     60
       1269.84   3.178     54
       1266.78   3.170     60
        673.83   1.687     26
        609.74   1.526     48
        603.18   1.510     61
        596.31   1.493     58
        589.60   1.476     54
        572.20   1.432   1000
    

in CDCl3



KBr disc



nujol mull