-
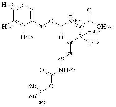
MS-IW-9272 N(2)-benzyloxycarbonyl-N(6)-tert-butoxycarbonyl-L-lysine C19H28N2O6 (Mass of molecular ion: 380)
Source Temperature: 170 °C Sample Temperature: 170 °C Direct, 75 eV
15.0 1.2 16.0 1.1 18.0 4.9 26.0 2.0 27.0 9.6 28.0 17.9 29.0 16.1 30.0 40.1 31.0 5.1 37.0 1.6 38.0 2.8 39.0 17.2 40.0 3.2 41.0 43.3 42.0 5.7 43.0 16.3 44.0 34.1 45.0 3.1 50.0 6.3 51.0 12.6 52.0 4.1 53.0 6.0 53.5 1.3 54.0 3.4 55.0 10.9 56.0 25.6 57.0 100.0 58.0 5.7 59.0 24.7 60.0 1.2 62.0 2.2 63.0 3.2 64.0 1.0 65.0 9.8 66.0 1.7 67.0 1.8 68.0 1.1 69.0 1.5 70.0 3.0 71.0 3.2 72.0 3.2 73.0 1.6 74.0 5.9 75.0 1.6 76.0 1.1 77.0 25.8 78.0 6.4 79.0 48.7 80.0 5.4 81.0 1.1 82.0 8.1 83.0 11.2 84.0 25.8 85.0 2.2 86.0 1.6 87.0 5.7 89.0 4.9 90.0 5.6 91.0 87.4 92.0 8.7 98.0 2.5 99.0 7.1 100.0 2.6 105.0 4.2 106.0 3.4 107.0 37.2 108.0 53.4 109.0 3.9 110.0 2.2 111.0 2.2 115.0 1.8 116.0 3.0 117.0 1.2 127.0 8.7 128.0 30.5 129.0 4.5 130.0 3.3 131.0 5.4 143.0 3.4 144.0 2.3 145.0 1.6 154.0 2.1 155.0 2.0 171.0 3.5 172.0 4.6 173.0 3.7 174.0 1.4 189.0 2.0 199.0 3.2 213.0 1.1 216.0 2.0 217.0 1.7 218.0 4.7 262.0 1.6 263.0 1.5 280.0 6.0 281.0 1.3 324.0 1.8
400 MHz in DMSO-d6
-
1H NMR 399.65 MHz C19 H28 N2 O6 0.038 g : 0.5 ml DMSO-d6 N(2)-benzyloxycarbonyl-N(6)-tert-butoxycarbonyl-L-lysine 
Assign. Shift(ppm)
A 12.6 B 7.55 C 7.36 D 7.33 E 6.78 F 5.034 G 3.912 J 2.890 K *1 1.66 L *1 1.57 M 1.368 N 1.29
Hz ppm Int.3020.42 7.558 35 3012.54 7.538 34 2946.97 7.374 96 2945.68 7.371 119 2941.84 7.362 362 2936.53 7.348 39 2931.76 7.336 38 2929.02 7.329 31 2927.55 7.326 33 2923.15 7.315 38 2708.67 6.778 31 2012.08 5.035 200 546.94 1.369 1000 534.11 1.337 48 533.75 1.336 48 533.38 1.335 48 532.83 1.334 48 532.46 1.333 48 528.80 1.324 40 528.07 1.322 39 527.15 1.320 39 525.87 1.316 39 525.32 1.315 39 524.96 1.314 39 522.76 1.309 35 521.29 1.305 35
更多供应商





