图谱信息 供应商 相关产品
网站主页CAS数据库列表 2425-74-3更多图谱N-叔丁基甲胺(2425-74-3)红外图谱(IR1)

N-叔丁基甲胺

产品名称 N-叔丁基甲胺

CAS号2425-74-3

分子式C5H11NO

分子量101.15

展开


  • Mass

    MS-NW-6060          
    N-tert-butylformamide
    C5H11NO             (Mass of molecular ion:    101)
    

       Source Temperature: 250 °C
       Sample Temperature: 190 °C
       Reservoir, 75 eV
    

          15.0       6.4
          18.0       9.1
          26.0       1.3
          27.0       7.0
          28.0       6.2
          29.0      10.6
          30.0       7.0
          38.0       1.2
          39.0       9.8
          40.0       2.6
          41.0      33.2
          42.0      17.4
          43.0       4.1
          44.0       1.8
          45.0       1.4
          46.0      53.7
          55.0       4.2
          56.0      16.5
          57.0      11.0
          58.0     100.0
          59.0       5.0
          86.0      41.8
          87.0       2.2
         101.0      11.4
    

400 MHz in CDCl3


  • 1H NMR 399.65 MHz
    C5 H11 N O 0.05 ml : 0.5 ml CDCl3
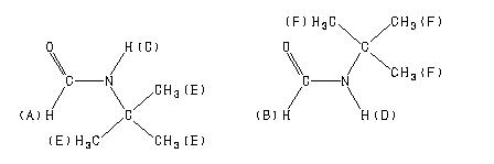
    N-tert-butylformamide
    ChemicalStructure
        Assign.     Shift(ppm)
    A 8.244 B 8.006 C 7.51 D 6.83 E *1 1.368 F *1 1.343 MIXTURE OF ISOMERS DUE TO C-N HINDERED ROTATION

         Hz     ppm     Int.
    

       3301.27   8.261    100
       3288.94   8.230    107
       3201.05   8.010    109
       3198.73   8.004    109
        570.92   1.429     23
        570.31   1.428     22
        547.00   1.369   1000
        536.74   1.344    981
    

in CDCl3



liquid film



4880 A,200 M,liquid