图谱信息 供应商 相关产品
网站主页CAS数据库列表 2432-11-3更多图谱2,6-二苯基苯酚(2432-11-3)红外图谱(IR1)

2,6-二苯基苯酚

产品名称 2,6-二苯基苯酚

CAS号2432-11-3

分子式C18H14O

分子量246.3

展开


  • Mass

    MS-NW-8797          
    m-terphenyl-2'-ol
    C18H14O             (Mass of molecular ion:    246)
    

       Source Temperature: 160 °C
       Sample Temperature: 110 °C
       Direct, 75 eV
    

          18.0       1.2
          77.0       1.1
          89.0       1.1
          94.5       2.1
         101.0       1.6
         107.0       1.1
         107.5       1.8
         108.0       1.1
         115.0       3.3
         123.0       3.1
         139.0       1.8
         141.0       1.2
         168.0       1.5
         169.0       1.5
         189.0       1.6
         202.0       7.8
         203.0       3.5
         213.0       1.2
         215.0       7.1
         216.0       2.6
         217.0       7.1
         218.0       4.2
         226.0       3.6
         227.0       5.5
         228.0       1.4
         231.0       1.0
         244.0       1.7
         245.0      18.1
         246.0     100.0
         247.0      19.4
         248.0       2.0
    

400 MHz in CDCl3


  • 1H NMR 399.65 MHz
    C18 H14 O 0.040 g : 0.5 ml CDCl3
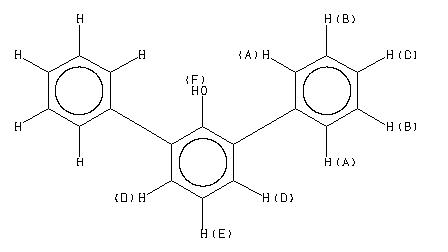
    m-terphenyl-2'-ol
    ChemicalStructure
        Assign.     Shift(ppm)
    A 7.541 B 7.454 C 7.365 D 7.262 E 7.042 F 5.38

         Hz     ppm     Int.
    

       3020.02   7.557    581
       3018.55   7.553    762
       3016.48   7.548    233
       3012.57   7.539    447
       3011.60   7.536    938
       3010.86   7.534    679
       3010.25   7.533    799
       3008.42   7.528    149
       2987.30   7.475    184
       2986.45   7.473    373
       2985.72   7.471    566
       2983.89   7.467    212
       2979.86   7.457    266
       2978.39   7.453   1000
       2977.05   7.450    422
       2972.17   7.437    263
       2970.70   7.434    464
       2968.75   7.429    103
       2950.68   7.384    237
       2949.22   7.380    428
       2947.88   7.377    245
       2945.56   7.371     40
       2943.97   7.367    182
       2941.89   7.362    429
       2939.70   7.356    145
       2935.91   7.347    121
       2934.57   7.343    204
       2933.23   7.340    108
       2906.62   7.273    732
       2903.32   7.265     36
       2902.34   7.263     40
       2899.05   7.254    880
       2821.41   7.060    355
       2814.21   7.042    344
       2813.48   7.040    315
       2806.27   7.022    260
       2149.90   5.380    858
    

in CDCl3



KBr disc



nujol mull



4880 A,200 M,powder