图谱信息 供应商 相关产品
网站主页CAS数据库列表 24324-17-2更多图谱9-芴甲醇(24324-17-2)质谱(MS)

9-芴甲醇

产品名称 9-芴甲醇

CAS号24324-17-2

分子式C14H12O

分子量196.24

展开


  • Mass

    MS-NW-7234          
    9-fluorenemethanol
    C14H12O             (Mass of molecular ion:    196)
    

       Source Temperature: 150 °C
       Sample Temperature: 120 °C
       Direct, 75 eV
    

          31.0       1.6
          39.0       1.5
          51.0       1.1
          62.0       1.2
          63.0       3.0
          69.5       2.3
          74.0       1.3
          75.0       1.5
          76.0       1.7
          81.5       1.9
          82.0       1.7
          82.5       2.9
          86.0       1.1
          87.0       1.7
          88.0       2.1
          89.0       1.8
         115.0       3.2
         139.0       4.7
         152.0       1.5
         162.0       1.3
         163.0      11.0
         164.0       9.4
         165.0     100.0
         166.0      79.8
         167.0      11.3
         176.0       1.7
         177.0       1.4
         178.0       7.5
         179.0       1.5
         196.0      33.6
         197.0       5.1
    

400 MHz in CDCl3


  • 1H NMR 399.65 MHz
    C14 H12 O 0.036 g : 0.5 ml CDCl3
    9-fluorenemethanol
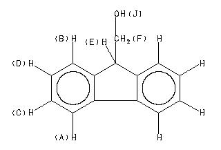
    ChemicalStructure
        Assign.     Shift(ppm)
    A 7.745 B 7.566 C 7.372 D 7.292 E 4.056 F 3.967 J 1.75

         Hz     ppm     Int.
    

       3099.24   7.755    842
       3091.80   7.737    921
       3027.71   7.576    757
       3026.86   7.574    755
       3020.14   7.557    861
       3019.53   7.556    856
       3013.31   7.540     30
       2954.22   7.393    392
       2946.90   7.374    859
       2939.45   7.356    539
       2935.67   7.346     58
       2921.39   7.310    642
       2920.29   7.308    655
       2913.94   7.292    933
       2912.84   7.289    917
       2906.49   7.273    388
       2905.40   7.270    367
       1628.05   4.074    159
       1621.95   4.059    368
       1615.84   4.044    292
       1588.26   3.975   1000
       1582.15   3.959    707
        700.93   1.754    362
    

in CDCl3



KBr disc



nujol mull