图谱信息 供应商 相关产品
网站主页CAS数据库列表 2433-56-9更多图谱1-羥菲(2433-56-9)红外图谱(IR1)

1-羥菲

产品名称 1-羥菲

CAS号2433-56-9

分子式C14H10O

分子量194.23

展开



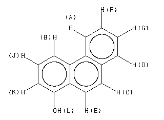
  •     Assign.     Shift(ppm)
    A 8.652 B 8.278 C 8.144 D 7.892 E 7.751 F *1 7.637 G *1 7.601 J 7.475 K 6.953 L 5.31 J(C,E)=9.0HZ.
    Spectral Code: 1H NMR : 400 MHz in CDCl3



  •        ppm   Int.  Assign.
    151.89 257 1 132.19 296 2 131.91 268 3 130.07 283 4 128.59 593 5 126.72 691 6 * 126.57 1000 7 8 126.20 622 9 * 123.14 604 10 121.89 214 11 119.90 566 12 115.50 507 13 110.64 395 14 10008
    Spectral Code: 13C NMR : in CDCl3


  • Spectral Code: IR : KBr disc