图谱信息 供应商 相关产品
网站主页CAS数据库列表 2437-17-4更多图谱6-羟基-1-萘甲酸(2437-17-4)核磁图(13CNMR)

6-羟基-1-萘甲酸

产品名称 6-羟基-1-萘甲酸

CAS号2437-17-4

分子式C11H8O3

分子量188.18

展开


  • Mass

    MS-IW-8190          
    6-hydroxy-1-naphthoic acid
    C11H8O3             (Mass of molecular ion:    188)
    

       Source Temperature: 170 °C
       Sample Temperature: 150 °C
       Direct, 75 eV
    

          17.0       1.5
          18.0       6.6
          28.0       1.4
          51.0       1.4
          57.0       2.4
          57.5       1.7
          62.0       1.2
          63.0       2.4
          65.0       1.2
          71.0       3.9
          71.5       2.4
          77.0       1.9
          80.0       2.3
          85.5       1.9
          88.0       1.2
          89.0       2.0
          94.0       4.6
         103.0       2.4
         113.0       1.6
         114.0       2.8
         115.0       7.6
         116.0       1.1
         131.0       2.3
         142.0       3.8
         143.0      29.2
         144.0       6.0
         159.0       1.6
         160.0       2.2
         170.0       4.9
         171.0      43.0
         172.0       5.3
         187.0       2.1
         188.0     100.0
         189.0      12.1
         190.0       1.3
    

400 MHz in DMSO-d6


  • 1H NMR 399.65 MHz
    C11 H8 O3 0.037 g : 0.5 ml DMSO-d6
    6-hydroxy-1-naphthoic acid
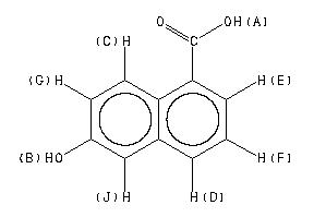
    ChemicalStructure
        Assign.     Shift(ppm)
    A 13. B 9.98 C 8.791 D *1 7.954 E *1 7.953 F 7.485 G 7.27 J 7.26 CONFIRMED BY LAOCN CALCULATION

         Hz     ppm     Int.
    

       3988.63   9.981     51
       3518.74   8.805    432
       3512.75   8.790    109
       3508.69   8.780    465
       3182.18   7.963   1000
       3174.70   7.944    737
       2999.06   7.505    340
       2991.58   7.486    426
       2983.67   7.466    308
       2911.45   7.286    220
       2908.88   7.279    494
       2905.46   7.271    587
       2903.11   7.265    737
       2901.62   7.261    618
       2898.84   7.254    168
    

in DMSO-d6



KBr disc



nujol mull