-
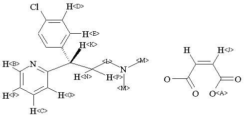
MS-IW-4300 (S)-3-(p-chlorophenyl)-N,N-dimethyl-3-(2-pyridyl)propylamine maleate C16H19ClN2 C4H4O4 (Mass of molecular ion: 274)
Source Temperature: 180 °C Sample Temperature: 150 °C Direct, 75 eV
26.0 1.5 28.0 1.0 30.0 2.3 42.0 2.5 43.0 1.2 44.0 1.6 54.0 1.4 56.0 1.1 57.0 1.0 58.0 33.0 59.0 1.3 71.0 1.2 72.0 20.8 73.0 1.0 78.0 1.1 93.0 1.0 98.0 1.0 125.0 1.0 139.0 1.0 166.0 2.3 167.0 13.1 168.0 8.6 169.0 1.1 180.0 1.6 181.0 1.7 191.0 1.4 192.0 1.3 193.0 1.3 201.0 1.6 202.0 17.7 203.0 100.0 204.0 18.9 205.0 33.1 206.0 4.4 216.0 2.0 227.0 4.4 228.0 1.9 229.0 2.2 230.0 1.9
400 MHz in CDCl3
-
1H NMR 399.65 MHz C16 H19 Cl N2 0.038 g : 0.5 ml CDCl3 (S)-3-(p-chlorophenyl)-N,N-dimethyl-3-(2-pyridyl)propylamine maleate 
Assign. Shift(ppm)
A 13. B 8.570 C 7.591 D 7.26 E 7.25 F 7.160 G 7.116 J 6.273 K 4.110 L 3.014 M 2.820 N *1 2.77 P *1 2.436 J(B,C)=2.0HZ J(B,F)=5.0HZ J(B,G)=0.9HZ J(C,F)=7.5HZ J(C,G)=7.9HZ J(F,G)=1.1HZ
Hz ppm Int.3429.24 8.581 40 3428.33 8.579 44 3427.41 8.577 45 3426.50 8.574 41 3424.30 8.569 42 3423.38 8.566 45 3422.47 8.564 44 3421.55 8.562 39 3043.13 7.615 36 3041.11 7.610 35 3035.44 7.596 71 3033.60 7.591 69 3027.74 7.576 45 3025.91 7.572 42 2911.61 7.286 47 2910.70 7.284 36 2905.39 7.270 40 2902.64 7.263 327 2901.36 7.260 100 2900.44 7.258 100 2899.34 7.255 287 2896.59 7.248 36 2891.10 7.235 36 2890.37 7.233 42 2868.39 7.178 39 2867.29 7.175 44 2863.44 7.165 39 2862.34 7.163 47 2860.88 7.159 40 2859.78 7.156 39 2855.93 7.147 37 2854.83 7.144 39 2848.79 7.129 44 2847.87 7.126 70 2846.96 7.124 39 2840.91 7.109 42 2840.00 7.107 65 2839.08 7.104 36 2507.00 6.273 616 1650.33 4.130 30 1643.19 4.112 43 1642.27 4.110 41 1635.13 4.092 32 1211.46 3.032 34 1209.81 3.028 32 1205.42 3.017 64 1201.02 3.006 34 1199.01 3.001 39 1195.71 2.992 33 1127.02 2.821 1000 1122.44 2.809 31 1115.67 2.792 30
更多供应商





