图谱信息 供应商 相关产品
网站主页CAS数据库列表 2447-79-2更多图谱2,4-二氯苯甲酰胺(2447-79-2)质谱(MS)

2,4-二氯苯甲酰胺

产品名称 2,4-二氯苯甲酰胺

CAS号2447-79-2

分子式C7H5Cl2NO

分子量190.03

展开


  • Mass

    MS2015-05118CW      
    2,4-dichlorobenzamide
    C7H5Cl2NO           (Mass of molecular ion:    189)
    

       Source Temperature: 240 °C
       Sample Temperature:  20 °C
       Direct, 70 eV
    

          37.0       1.8
          44.0       4.8
          49.0       1.1
          50.0       3.8
          51.0       1.1
          61.0       1.0
          63.0       1.2
          73.0       3.3
          74.0      13.1
          75.0      12.0
          76.0       1.1
          80.5       1.8
          84.0       2.9
          85.0       1.7
          86.0       1.1
          99.0       1.1
         109.0      12.8
         110.0       5.1
         111.0       7.1
         112.0       1.7
         113.0       1.1
         136.0       1.1
         138.0       1.2
         145.0      20.8
         146.0       3.4
         147.0      16.3
         148.0       1.8
         149.0       2.7
         173.0     100.0
         174.0       8.3
         175.0      62.8
         176.0       4.2
         177.0       9.0
         189.0      37.7
         190.0       3.1
         191.0      24.3
         192.0       1.9
         193.0       4.0
    

in CDCl3

400 MHz in DMSO-d6




  • 1H NMR 399.65 MHz
    C7 H5 Cl2 N O 0.039 g : 0.5 ml DMSO-d6
    2,4-dichlorobenzamide
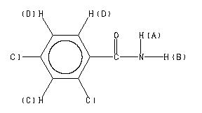
    ChemicalStructure
        Assign.     Shift(ppm)
    A *1 7.95 B *1 7.69 C 7.663 D 7.48

         Hz     ppm     Int.
    

       3177.86   7.952     99
       3073.73   7.692    105
       3063.72   7.667    311
       3062.74   7.664    485
       3061.40   7.661    312
       2995.85   7.497     22
       2992.31   7.488     26
       2988.65   7.479   1000
       2987.67   7.476    754
    

in CDCl3

in DMSO-d6





KBr disc



Nujol