图谱信息 供应商 相关产品
网站主页CAS数据库列表 2448-45-5更多图谱N-苄氧羰基-D-苯丙氨酸(2448-45-5)红外图谱(IR1)

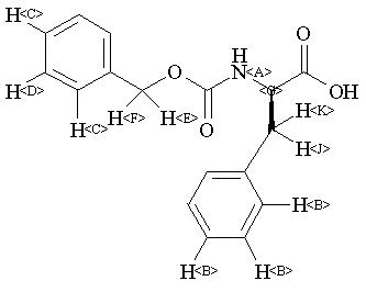
N-苄氧羰基-D-苯丙氨酸

产品名称 N-苄氧羰基-D-苯丙氨酸

CAS号2448-45-5

分子式C17H17NO4

分子量299.32

展开

400 MHz in DMSO-d6


  • 1H NMR 399.65 MHz
    C17 H17 N O4 0.034 g : 0.5 ml DMSO-d6
    N-benzyloxycarbonyl-D-phenylalanine
    ChemicalStructure
        Assign.     Shift(ppm)
    A 7.67 B 7.32 C 7.27 D 7.21 E *1 4.982 F *1 4.970 G 4.197 J *2 3.68 K *2 2.844

         Hz     ppm     Int.
    

       3070.19   7.683    140
       3061.77   7.662    148
       2942.75   7.364     48
       2940.80   7.359     74
       2934.20   7.342    236
       2932.74   7.339    174
       2927.00   7.324    324
       2922.73   7.314    211
       2921.14   7.310    183
       2918.33   7.303    148
       2916.14   7.297    219
       2909.42   7.280    535
       2907.10   7.275    644
       2904.42   7.268   1000
       2891.60   7.236    110
       2889.40   7.230    113
       2885.38   7.220    103
       2882.93   7.214    109
       2879.52   7.206     70
       2877.08   7.200     72
       2002.81   5.012     38
       1989.99   4.980    395
       1987.79   4.974    359
       1980.35   4.956     30
       1975.22   4.943     52
       1689.09   4.227     49
       1684.69   4.216     58
       1680.42   4.205     67
       1678.59   4.201     80
       1676.27   4.195     76
       1674.32   4.190     67
       1670.04   4.179     61
       1665.77   4.169     51
       1241.46   3.107     72
       1237.06   3.096     79
       1227.66   3.072    103
       1223.27   3.061     94
       1148.56   2.874     90
       1137.94   2.848    102
       1134.77   2.840     86
       1124.15   2.813     77
    

KBr disc