-
ppm Int. Assign.
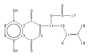
178.26 640 1 * 176.76 507 2 * 169.79 596 3 167.39 684 4 # 166.86 685 5 # 148.22 665 6 136.11 733 7 132.85 889 8 *1 132.69 939 9 *1 131.47 809 10 117.69 1000 11 111.80 393 12 #1 111.54 376 13 #1 69.52 905 14 32.82 805 15 25.78 922 16 *2 20.99 732 17 17.95 786 18 *2Spectral Code: 13C NMR : in CDCl3
更多供应商



