图谱信息 供应商 相关产品
网站主页CAS数据库列表 2456-81-7更多图谱4-吡咯烷基吡啶(2456-81-7)质谱(MS)

4-吡咯烷基吡啶

产品名称 4-吡咯烷基吡啶

CAS号2456-81-7

分子式C9H12N2

分子量148.21

展开


  • Mass

    MS-NW-7651          
    4-(1-pyrrolidinyl)pyridine
    C9H12N2             (Mass of molecular ion:    148)
    

       Source Temperature: 250 °C
       Sample Temperature: 170 °C
       Reservoir, 75 eV
    

          15.0       1.2
          17.0       3.0
          18.0      13.9
          26.0       1.3
          27.0       4.6
          28.0       3.8
          29.0       1.1
          38.0       1.3
          39.0       6.9
          40.0       1.9
          41.0       7.3
          42.0       8.5
          43.0       3.6
          50.0       3.5
          51.0      18.3
          52.0       5.0
          53.0       1.8
          54.0       1.3
          65.0       4.6
          66.0       2.9
          67.0       1.7
          73.0       1.0
          74.0       2.0
          77.0       1.1
          78.0      21.8
          79.0       3.7
          80.0       1.3
          91.0       1.0
          92.0      21.8
          93.0       8.5
          94.0       1.5
         105.0      15.0
         106.0       6.9
         107.0       1.8
         117.0       1.0
         118.0       1.9
         119.0      21.9
         120.0      15.9
         121.0       1.5
         131.0       1.4
         132.0       2.2
         145.0       4.0
         146.0       1.4
         147.0     100.0
         148.0      85.1
         149.0       9.2
    

90 MHz in CDCl3


  • 1H NMR 89.56 MHz
    C9 H12 N2 0.043 g : 0.5 ml CDCl3
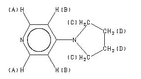
    4-(1-pyrrolidinyl)pyridine
    ChemicalStructure
        Assign.     Shift(ppm)
    A 8.164 B 6.346 C 3.273 D 2.006

         Hz     ppm     Int.
    

        734.50   8.202    413
        732.94   8.184    315
        729.56   8.147    335
        728.06   8.130    455
        571.56   6.382    483
        570.00   6.365    345
        566.63   6.327    344
        565.06   6.310    457
        300.38   3.354    341
        297.81   3.326    250
        296.13   3.307    315
        293.56   3.278   1000
        291.25   3.253    645
        287.06   3.206    448
        279.38   3.120     34
        278.69   3.112     34
        192.75   2.153     43
        192.00   2.144     41
        186.25   2.080    417
        182.88   2.042    363
        179.63   2.006    966
        176.31   1.969    360
        172.94   1.931    345
        168.19   1.878     43
        167.00   1.865     47
    

in CDCl3



KBr disc



nujol mull