产品名称 H-GLY-HYP-OH
CAS号24587-32-4
分子式C7H12N2O4
分子量188.18
InChIInChI=1S/C7H12N2O4/c8-2-6(11)9-3-4(10)1-5(9)7(12)13/h4-5,10H,1-3,8H2,(H,12,13)/t4-,5+/m1/s1
InChIKeyZJQXGJBINIMBOY-UHNVWZDZSA-N
SmilesC(O)(=O)[C@@H]1C[C@@H](O)CN1C(=O)CN
展开 收起
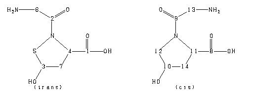
ppm Int. Assign. 179.38 394 1 178.70 280 8 167.08 304 9 166.08 536 2 70.60 1000 3 68.97 559 10 61.36 778 4 60.87 477 11 55.21 542 12 54.80 824 5 41.32 760 6 40.72 428 13 40.15 543 14 38.15 886 7
更多供应商
H-GLY-HYP-OH(24587-32-4)核磁图(1HNMR) 相关产品图谱