图谱信息 供应商 相关产品
网站主页CAS数据库列表 2459-24-7更多图谱1-萘甲酸甲酯(2459-24-7)质谱(MS)

1-萘甲酸甲酯

产品名称 1-萘甲酸甲酯

CAS号2459-24-7

分子式C12H10O2

分子量186.21

展开


  • Mass

    MS-IW-8197          
    methyl 1-naphthoate
    C12H10O2            (Mass of molecular ion:    186)
    

       Source Temperature: 220 °C
       Sample Temperature: 150 °C
       Reservoir, 75 eV
    

          50.0       2.0
          51.0       3.1
          62.0       1.1
          63.0       5.7
          63.5       6.3
          64.0       1.1
          74.0       3.2
          75.0       4.6
          76.0       2.3
          77.0       6.9
          77.5       2.4
          87.0       1.2
          98.0       1.1
         101.0       4.6
         114.0       1.2
         115.0       1.7
         125.0       1.2
         126.0      12.0
         127.0      72.7
         128.0      10.0
         141.0       1.2
         154.0       1.8
         155.0     100.0
         156.0      12.7
         171.0       1.1
         186.0      67.1
         187.0       8.9
    

400 MHz in CDCl3


  • 1H NMR 399.65 MHz
    C12 H10 O2 0.05 ml : 0.5 ml CDCl3
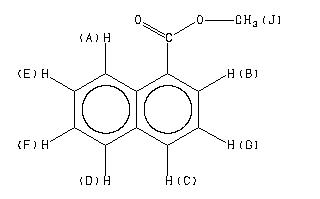
    methyl 1-naphthoate
    ChemicalStructure
        Assign.     Shift(ppm)
    A 8.928 B 8.130 C 7.916 D 7.793 E 7.566 F 7.460 G 7.398 J 3.929

         Hz     ppm     Int.
    

       3572.85   8.940     81
       3572.24   8.939     81
       3564.15   8.919     85
       3563.39   8.917     86
       3253.94   8.142     95
       3252.56   8.139    100
       3246.61   8.124    103
       3245.39   8.121    106
       3168.03   7.928     81
       3159.79   7.907     89
       3118.74   7.804     73
       3110.50   7.784     84
       3032.68   7.589     44
       3031.31   7.585     46
       3025.97   7.572     64
       3024.29   7.568     84
       3022.61   7.564     47
       3017.27   7.550     63
       3015.75   7.546     59
       2989.04   7.480     64
       2987.98   7.477     66
       2982.18   7.462     54
       2980.96   7.459     98
       2979.74   7.456     63
       2974.09   7.442     45
       2973.02   7.440     43
       2964.17   7.417     99
       2956.85   7.399    111
       2956.09   7.397    111
       2948.76   7.379     91
       1570.28   3.930   1000
    

in CDCl3



liquid film