
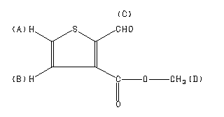
2-甲酰基噻吩-3-羧酸甲酯
产品名称
2-甲酰基噻吩-3-羧酸甲酯
CAS号24647-82-3
分子式C7H6O3S
分子量170.19
InChIInChI=1S/C7H6O3S/c1-10-7(9)5-2-3-11-6(5)4-8/h2-4H,1H3
InChIKeyADAAURCEFZTYJX-UHFFFAOYSA-N
SmilesC1(C=O)SC=CC=1C(OC)=O
展开
收起
-
Parameter ppm Hz
D(A) 7.95
D(B) 7.57
D(C) 10.53
J(A,B) 5.10
J(A,C) 1.55
J(B,C) 0.0
D(D) 3.94
GRONOWITZ,S. ET AL. ARK.KEMI. 21, 265 (1963)
Spectral Code: 1H NMR : parameter in acetone