图谱信息 供应商 相关产品
网站主页CAS数据库列表 2479-46-1更多图谱1,3-双(4'-氨基苯氧基)苯(2479-46-1)核磁图(1HNMR)

1,3-双(4'-氨基苯氧基)苯

产品名称 1,3-双(4'-氨基苯氧基)苯

CAS号2479-46-1

分子式C18H16N2O2

分子量292.33

展开


  • Mass

    MS-IW-6661          
    4,4'-(m-phenylenedioxy)dianiline
    C18H16N2O2          (Mass of molecular ion:    292)
    

       Source Temperature: 170 °C
       Sample Temperature: 160 °C
       Direct, 75 eV
    

          65.0       2.8
          76.0       1.1
          80.0       3.3
          93.0       1.7
         108.0      24.7
         109.0       3.6
         120.0       3.3
         128.0       1.1
         146.0       8.9
         146.5       1.8
         154.0       1.8
         155.0       1.3
         156.0       7.6
         157.0       1.1
         183.0       1.4
         184.0       2.5
         185.0       1.7
         291.0       1.0
         292.0     100.0
         293.0      20.6
         294.0       2.5
    

400 MHz in DMSO-d6


  • 1H NMR 399.65 MHz
    C18 H16 N2 O2 0.041 g : 0.5 ml DMSO-d6
    4,4'-(m-phenylenedioxy)dianiline
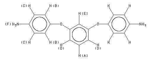
    ChemicalStructure
        Assign.     Shift(ppm)
    A 7.175 B 6.770 C 6.597 D 6.462 E 6.359 F 5.0

         Hz     ppm     Int.
    

       2876.10   7.197    151
       2867.92   7.177    306
       2859.74   7.156    175
       2714.11   6.792     72
       2710.69   6.783    781
       2708.50   6.778    259
       2704.10   6.767    288
       2701.90   6.761   1000
       2698.49   6.753    116
       2643.92   6.616    106
       2640.63   6.608    975
       2638.31   6.602    288
       2633.91   6.591    263
       2631.71   6.586    792
       2628.30   6.577     86
       2588.01   6.476    375
       2585.69   6.470    395
       2579.83   6.456    345
       2577.51   6.450    408
       2543.58   6.365    201
       2541.26   6.359    332
       2538.94   6.353    162
       1995.61   4.994    706
    

in DMSO-d6



KBr disc



nujol mull